定義
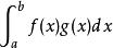
函式內積現規定兩函式f(x)與g(x)與區間[a,b],且兩函式在該區間上可積且平方可積。則積分 記作函式的內積。函式的內積常記作<f(x),g(x)>。
性質
1、<f,g>=<g,f>
2、<af+bg,h>=a<f,h>+b<g,h>(其中a、b為常數,f、g、h為函式)
3、如果<f,g>在[a,b]上=0,我們就稱f與g在[a,b]上 正交。
對於性質3的證明
函式內積
函式內積
函式內積
函式內積
函式內積
函式內積
函式內積
函式內積
函式內積
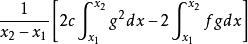
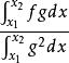
函式內積現有函式f(t)、g(t),定義在[ ]上,用函式f在g上的分量表示f:f cg,設誤差函式為p=f-cg,用均方誤差法: = ,令 =0,得 { }=0。將積分號中的被積函式展開,並先對其進行求導,整理後得 =0,分離出c,c= 。為使得c=0, 必=0,即<f,g>=0。而c=0也就說明了f在g上的投影為0,而投影為0即為正交。

