出砂油井生產特徵及砂卡機理分析
油田長期進行注水開發, 原來不出砂或出砂少的油層, 由於受到流體的長期沖刷, 膠結物剝蝕嚴重, 出砂日趨嚴重而普遍, 同時隨著出砂油藏儲量動用程度和採油速度的不斷提高,出砂油井井數也不斷增多, 因此, 導致整個油田出砂狀況不斷惡化。油井嚴重出砂不僅使抽油泵的關鍵部件磨損過早失效, 而且因砂卡、砂磨、泵漏造成油井停產。
出砂油井抽油工藝技術常規泵不適應於油井含砂的結構主要在柱塞上下兩端( 上端結構見圖 )。由於柱塞上下兩端( 長約50 mm) 均比中間密封體在直徑方向上小0 . 5 mm 左右, 形成一個台階,這就從結構上提供了砂粒存留的環境。柱塞上行時, 柱塞上部的壓力大於下部的壓力, 攜砂的井液在壓差作用下沿柱塞與泵筒的密封間隙下行, 粒徑較大的砂粒被滯留在柱塞的端部與泵筒的環形間隙之間。
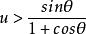
上行時, 由於柱塞兩端導向錐面的存在, 柱塞將擠壓砂粒上行, 在柱塞的擠壓作用下, 不僅使砂粒與泵筒之間的摩擦力增大, 而且砂粒同樣對柱塞泵筒產生磨損, 使柱塞端部倒向錐面的角度θ發生改變。這樣, 一方面必將對泵筒產生磨損, 造成泵筒的早期磨損失效; 另一方面, 當砂粒與泵筒內表面的摩擦係數u 和柱塞的導向錐面角θ滿足下式時, 砂粒與泵筒之間的摩擦力大於柱塞上行力, 將出現砂卡柱塞現象。
出砂油井抽油工藝技術柱塞下端的磨損及下行時遇阻情況, 其原理與上行過程相類似。
為了提高抽油泵的使用壽命, 減少因油井出砂造成的檢泵作業次數, 採油工藝研究院研製成功了長柱塞防砂泵和等徑柱塞抽油泵。
長柱塞防砂泵
結構
長柱塞式防砂抽油泵採用長柱塞、短泵筒及泵下沉砂、側向進油結構。主要由: 長柱塞、短泵筒、雙通接頭、沉砂外筒、進出油閥、水力連通式泵擋砂圈等零部件組成(右圖)。
其防砂卡、砂磨的工作原理就是藉助擋砂圈及漏失液的共同作用, 阻止砂粒進入柱塞與泵筒之間的密封間隙, 從而杜絕了砂卡、減輕了泵筒與柱塞的磨損, 使表面強化層得以保護。當油井停抽時, 下沉的砂粒又會沿沉砂環空沉入泵下尾管, 不會像常規泵那樣在泵上聚積, 避免了砂埋抽油桿。
特點
長柱塞式防砂抽油泵具有以下性能特點:
① 防砂埋、防砂卡、防砂磨、耐腐蝕。該泵能防止在停泵時砂埋抽油桿,在工作時防止砂卡柱塞, 特別是能有效地防止砂粒進入柱塞與泵筒之間的密封間隙, 造成對泵筒及柱塞的強烈磨損。由於磨損減輕, 柱塞及泵筒的表面強化層不易被破壞, 保證基體不會直接與腐蝕介質接觸, 故採用同樣的表面處理工藝,其耐腐蝕性能要優於常規泵。
② 壽命長。在含砂油井上使用的抽油泵, 其損壞形式均為閥或間隙漏失過大的主要原因,該泵能有效地防止砂磨, 減輕腐蝕, 故泵的使用壽命將大大延長。
③減輕桿管偏磨。由於該泵出油阻力小, 下行時無阻卡, 故下部桿柱不易彎曲, 桿管偏磨現象得到改善。
④ 使用維修方便。該泵使用過程中無特殊要求, 所有的閥及閥罩均採用標準件, 拆裝也十分方便, 各採油廠的工具隊均有能力維修。
套用情況
長柱塞防砂泵自1996 年7 月開始套用以來, 先後在勝利油區、中原油田及青海油田的各類出砂抽油井上推廣套用1600 多台。防砂卡、防砂埋的成功率均為100% , 與常規泵相比, 平均泵效提高10%以上, 且保持高泵效的生產時間長。
典型井例: 勝坨油39221 井。該井上次作業原因是泵漏。該井原用常規泵生產, 開井僅6 個月泵效就由71 . 1%下降為33 . 8%。起出管柱後, 可見柱塞兩端10 cm 段有明顯劃痕, 下部接箍均有磨損痕跡, 其中第7、10、11、14、17、20 根桿的接箍磨至與墩粗處平, 甚至磨穿。1999 年7 月22 日, 改下長柱塞防砂泵, 配合等直徑加重桿, 並進行了桿柱最佳化設計, 該井正常生產了347 天, 最終於2000 年7 月3 日因出砂多停井作業, 泵效平均為63 . 8% , 且泵效下降趨勢較常規泵平緩。
改進型長柱塞防砂泵
(1) 改進型長柱塞防砂泵結構特點。原長柱塞防砂泵具有兩大特點: 一是設計有環空沉砂裝置; 二是設計有長柱塞短泵筒一對合理的摩擦副, 所以在套用中有效延長了油井的免修期。但該泵設計為側向進油, 且泵的外徑較大(114 mm) , 往往在該部位形成砂橋,砂卡泵及尾管。1999 年有7 口井解卡作業, 一口井交大修。因此東辛採油廠對該泵結構進行了技術改進。
(2) 改進型長柱塞防砂泵工作原理。下行程時, 柱塞上部的浮砂一部分被排到地面,一部分通過外管與泵筒之間的環空沉砂通道沉到下部沉砂環空中。由於進油通道由側向改為底部進油, 防止了浮砂卡管、卡泵事故的發生, 延長生產周期。
等徑柱塞抽油泵
原理
出砂油井抽油工藝技術等徑柱塞抽油泵是常規抽油泵的一種替代產品, 該抽油泵通過對常規抽油泵在結構上進行最佳化改進, 不僅能提供常規抽油泵所具有的一切特點, 而且能有效防止出砂油井中砂卡柱塞、砂磨柱塞泵筒等現象的發生, 大大減緩柱塞與泵筒間的磨損, 延長出砂油井生產周期。
針對常規抽油泵結構上不適應於出砂油井的缺點, 創新設計的等徑柱塞抽油泵( 結構示意圖見圖) , 採用了獨創的等徑刮砂柱塞結構, 從根本上消除了砂卡、砂磨柱塞泵筒的存砂環境, 並利用柱塞與液流之間的相對運動, 使其具備了自沖洗特性。
特點
該抽油泵的工作原理與常規泵相同, 其獨特之處在於:
① 防砂卡、防砂磨特性。
上衝程時, 柱塞上行, 由於刮砂倒角的作用, 可有效地將泵筒內壁附近的砂粒刮落於柱塞空腔內, 消除了普通抽油泵存在的柱塞與泵筒之間由於砂粒的壓實作用形成的硬性擠壓摩擦力, 所以能有效防止砂卡柱塞。並且由於砂粒進入抽油泵密封副的幾率減小, 磨損減小, 所以, 能最大限度地延長柱塞、泵筒的使用壽命, 延長油井的生產周期。
②自沖洗特性。
下衝程時, 不僅具有下行刮砂作用, 而且隨柱塞下行, 相對於柱塞運動, 排出的井液能將積存於柱塞排液口附近的少量的砂粒沖刷乾淨, 以便在下一次上衝程時保證柱塞工作於最佳的清潔環境,起到自動沖洗砂粒, 防止砂卡柱塞的作用。
③價格低, 效率高。
與常規泵相比, 等徑柱塞抽油泵由於其加工成本未增加, 所以,能以常規抽油泵的價格, 獲得比常規抽油泵有效延長油井生產周期的效用。在生產中節省大量的油井生產材料費用和作業費用,有效降低生產成本。[1]
套用
等徑柱塞抽油泵自1999 年5 月進入現場推廣套用以來, 一年多的時間裡, 在勝利油區, 及華北、遼河等油田已推廣套用從44~95 各種規格及衝程的等徑柱塞抽油泵1000 余台。主要用於各類中低含砂油井、長期停產井及新投井中, 以及與各種井下防砂措施配套套用。
其效果主要表現在:
①防砂卡效果好: 如現河採油廠的王314 井, 在套用等徑柱塞抽油泵之前, 下常規泵僅生產4 天即發生光桿卡停, 下等徑柱塞抽油泵後, 正常生產三個月, 泵效為63 . 8%。
② 防砂磨效果好: 據統計套用於出砂油井時, 高泵效生產周期長, 平均提高泵效8%~10% , 延長生產周期2~3倍。如現河採油廠的C13-304 井, 作業時發現泵上一根油管砂埋, 且油井含氣量較大。套用等徑柱塞抽油泵後, 生產一年以上, 保持良好的生產效果, 泵效一直維持在70%。
③具有明顯的防柱塞上接頭斷脫效果: 在所下的1000 余口井中, 未出現一台泵因柱塞上接頭斷脫而作業的, 與常規泵相比, 具有明顯的優勢。
排砂採油工藝技術
由於油井含水的升高, 油藏出砂對井筒內的各裝置造成極大的傷害, 油田科技人員和現場工程技術人員長期投入巨大的精力, 花費巨額資金採用各種防砂或改進工具結構等辦法去治理這種傷害, 但在治理的同時又損害了近井地帶的油層物性, 降低了近井地帶油層的滲透率, 影響了油井產量, 使得疏鬆砂岩油藏這種高效資源的開採變成低效、甚至無法開採利用。
排砂採油工藝技術的原理。
出砂油井抽油工藝技術井下排砂採油裝置工作原理圖見圖。該項工藝技術是以高壓水為動力液驅動井下排砂採油裝置工作, 以動力液和采出液之間的能量轉換達到排砂採油的目的。動力液在噴嘴處由高壓頭轉變位高速頭,
噴射液流將地層流體攜地層砂從匯集室吸入喉管, 在喉管內形成混合液, 地層流體由動力液獲得充分的能量, 由此混合液由速度頭轉變為壓力頭, 將地層流體( 包括地層油、水、砂及其他)排至地面。由於井下排砂採油裝置的尾管處於油層下部, 地層流體攜地層砂能夠及時地進入尾管, 而不會滯留於尾管周圍, 從而始終保證地層流體進入尾管暢通無阻。在地層液體被舉升的過程中, 由於排砂採油裝置能阻止地層砂下沉, 從而保證了地層流體順利地排至地面。
排砂採油工藝特點
該項工藝技術是在對國內外水力噴射泵採油工藝進行認真分析研究的基礎上, 形成的一種新型的排砂採油工藝技術。它與原水力噴射泵採油工藝既有著本質的區別, 又具有獨到的優越性。
該工藝技術具有很強的攜砂排砂能力。在地層流體被舉升的過程中, 由於排砂採油裝置的特殊結構, 使地層液體從進入尾管開始, 在井筒內的任何部位其上升速度都大於砂子沉降速度的兩倍。所以, 它具有阻止地層砂下沉的功能, 順利排至地面, 原水力噴射泵則不能。由於原水力噴射泵攜砂能力差, 其在泵下安裝的封隔器不可避免地被砂埋甚至損壞。
該項工藝技術井下不設封隔器, 可正常錄取套壓、動液面等油靜動態資料, 以便及時掌握井下工況, 及時進行分析、應對, 而原水力噴射泵採油工藝因設有封隔器而無法進行上述工作。
該工藝技術的尾管下至油層下部, 使地層出砂全部隨采出液排至地面, 不會造成沙埋油層。
該項工藝技術所設井口及井下排砂採油裝置結構設計科學合理, 無運行件, 現場檢泵只需更換噴嘴、喉管及一個密封環三個部件, 從而大大減少了維修工作量, 使維護費用降至最低。
由於該工藝技術井壁無遮擋, 油層近井地帶的流砂和堵塞物隨地層流體湧入井筒, 從而很好地疏通油層和炮眼, 解除了堵塞, 恢復並提高了地層原有的滲透性, 使油井產量得到大幅度提高。
該項工藝技術對油層無污染、無堵塞性傷害, 採用動力液起下泵, 調整工作參數方便, 施工作業簡便可靠, 施工費用低, 油井免修期長, 具有良好的綜合經濟效益。
工藝條件及適應範圍
①該項工藝技術其設備由三部分組成: 即針對排砂採油設計的專用井口, 滿足工藝要求的井下雙管柱排砂採油裝置和特殊結構的水力噴射泵。從井下到地面, 整套系統運行平穩, 工作可靠, 現場管理方便。
②該項工藝技術適用於各類出砂油藏, 對於油層膠結物極少, 地層砂近似為流砂, 出砂極其嚴重的井以及地層虧空極為嚴重到上覆蓋層即將被破壞的井, 需進行油層充填作業、以補充地層上覆蓋層的支撐力,充填砂粒徑可放大到足以使地層分析砂流出, 然後在採用本工藝技術進行排砂採油。
③因機械防砂造成產量損失嚴重, 甚至無產量的油井, 可起出防砂管柱, 再採用本項工藝技術進行生產。
④改性工藝技術適用於115 mm (含115 mm) 以上的各種規格套管完井的直井和斜井(115 mm 套管使用同心管柱) , 其井深在2000 m 以內, 且套管無破裂、無錯斷、無嚴重變形。

