共線條件方程的推導
推導圖冊推導方式複雜,用到一些特殊符號,所以看圖冊!
共線方程的套用
求像底點坐標
求像點坐標
單像空間後方交會和多像空間前方交會
攝影測量中的數字投影基礎
航空影像模擬
光束法平差的基本數學模型
利用DEM製作數字正射影像圖
利用DEM進行單張像片測圖
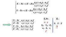
共線條件方程
共線條件方程
共線條件方程
共線條件方程
在理想情況下,攝影瞬間像投影中心、物點和像點位於同一條直線上,描述這三點共線的數學表達式稱之為共線條件方程。
推導圖冊推導方式複雜,用到一些特殊符號,所以看圖冊!
求像底點坐標
求像點坐標
單像空間後方交會和多像空間前方交會
攝影測量中的數字投影基礎
航空影像模擬
光束法平差的基本數學模型
利用DEM製作數字正射影像圖
利用DEM進行單張像片測圖
共線條件方程
共線條件方程
共線條件方程
共線條件方程寫了一批重要著作:《論任意階數值方程的解法》、《解析函式論》和《函式計算...和超越方程的解法上,作出了有價值的貢獻,推動了代數學的發展。他提交給柏林科學院兩篇著名的論文:《關於解數值方程》和《關於方程的代數解法的研究...
拉格朗日生平 拉格朗日方法是對積分進行研究工作,編寫了一批重要著作:《論任意階數值方程的解法》、《解析函...代數方程和超越方程的解法上,作出了有價值的貢獻,推動了代數學的發展。他提交給柏林科學院兩篇著名的論文:《關於解數值方程》和《關於方程的代數解法...
約瑟夫·路易斯·拉格朗日 拉格朗日的科學成就 “三L” 拉格朗日方法是對積分的參數,依據條件建立參數方程。必修1集合 (約4課時)(1)集合的含義與表示...基本量不變,繁難向著簡易變。 逆反原則作指導,升冪降次和差積。條件等式的證明,方程思想指路明。 萬能公式不一般,化為有理式居先。公式順用...
簡介 公式口訣 必修1 必修2 必修3軌道6.1.1新坐標系的引入6.1.2共線平動點附近運動方程的高階展開...10.3.7矩陣b~的計算——條件方程的構成10.3.8精密定軌中的兩種算法...運動平面內的軌道積分和活力公式2.1.3第6個積分——克卜勒方程...
基本信息 內容簡介 目錄活動小結複習題2第三章 一元一次方程3.1 從算式到方程閱讀與思考 “方程”史話3.2 解一元一次方程一——合併同類項與移項實驗與探究...一次函式19.3用函式觀點看方程(組)與不等式19.4課題學習選擇方案教學活動...
章節目錄 圖書目錄 概念定義 學習方法 預防分化象的對稱性能力測試點11函式與方程1函式零點的定義及存在性定理2二次函式的零點3用二分法求方程的近似解4確定函式零點所在...函式與方程的綜合問題8函式零點命題的創新問題能力測試點12...
內容簡介 圖書目錄的指數方程和對數方程?25.什麼是函式方程?二 數列、數學歸納法和極限26...注意哪些問題?33.利用方程(組)解數列問題時,應注意些什麼問題?34.你....你會用複數相等的條件解題嗎?71.複數的模有哪些主要性質?72.如何運用...
作品目錄時期透視學的興起,給這門幾何學的產生和成長準備了充分的條件。這門幾何學...邊的交點共線,反之也成立”,就是射影幾何的基本定理。帕斯卡也為射影幾何學...於二次曲線的六邊形的三雙對邊的交點共線。”這條定理叫做帕斯卡六邊形定理,也是射影...
幾何學概況 幾何學內容 齊次坐標 對偶原理 公理系統題型20二次方程ax2+bx+c=0(a≠0)的實根分布及條件33題型21...36題型歸納及思路提示36題型22指數運算及指數方程、指數不等式36題型...有效訓練題11(限時45分鐘)51第九節函式與方程52考綱解讀52命題趨勢...
基本信息 內容簡介 作者簡介 前言 目錄