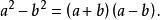
平方差的因式分解公式
多項式a²-b²可以分解成兩個因式,就是
公式分解法事實上,這裡我們是反過來套用了兩數和與差的積的公式。
我們可以把(1)作為一個公式,利用它來分解由一個數的平方減去另一個數的平方所構成的多項式的因式 。
平方差的因式分解公式:
公式分解法(因式分解公式1)
完全平方的因式分解公式
我們計算兩數和或差的平方時可以套用下面的公式:
公式分解法反過來就得到完全平方的因式分解公式:
公式分解法(因式分解公式2),
公式分解法(因式分解公式3)。
公式分解法
公式分解法注 因為和可以分別化成兩個數的和或者兩個數的差的平方,我們把它們叫做完全平方式。
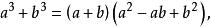
立方和或立方差的因式分解法
從乘法公式:
公式分解法及
公式分解法反過來就得到立方和或立方差的因式分解公式:
公式分解法(因式分解公式4),
公式分解法(因式分解公式5) 。
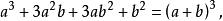
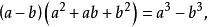
完全立方的因式分解法
從乘法公式:
公式分解法及
公式分解法反過來可得完全立方的因式分解公式,
公式分解法(因式分解公式6),
公式分解法(因式分解公式7) 。

