簡介
在數學中, 克羅內克函式(又稱克羅內克δ函式、克羅內克δ) 是一個二元函式,得名於德國數學家利奧波德·克羅內克。克羅內克函式的自變數(輸入值)一般是兩個整數,如果兩者相等,則其輸出值為1,否則為0。
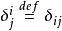
克羅內克函式的值一般簡寫為 。
克羅內克函式和狄拉克δ函式都使用δ作為符號,但是克羅內克δ用的時候帶兩個下標,而狄拉克δ函式則只有一個變數。
其它記法
另一種標記方法是使用艾佛森括弧(得名於肯尼斯·艾佛森):
同時,當一個變數為0時,常常會被略去,記號變為 :
線上性代數中,克羅內克函式可以被看做一個張量,寫作 。
數位訊號處理
類似的,在數位訊號處理中,與克羅內克函式等價的概念是變數為 (整數)的函式:
這個函式代表著一個衝激或單位衝激。當一個數字處理單元的輸入為單位衝激時,輸出的函式被稱為此單元的衝激回響。
性質
克羅內克函式有篩選性:對任意 :
如果將整數看做一個裝備了計數測度的測度空間,那么這個性質和狄拉克δ函式的定義是一樣的:
克羅內克函式實際上,狄拉克δ函式是根據克羅內克函式而得名的。在信號處理中,兩者是同一個概念在不同的上下文中的表現。一般設定 為連續的情況(狄拉克函式) ,而使用i,j,k,l,m, andn等變數一般是在 離散的情況下(克羅內克函式)。
線性代數中的套用
克羅內克函式線上性代數中,單位矩陣可以寫作 。
在看做是張量時(克羅內克張量),可以寫作 。
這個(1,1)向量表示:作為線性映射的單位矩陣;跡數;內積 ;映射 ,將數量乘積表示為外積的形式。
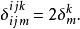
廣義克羅內克函式
克羅內克函式定義 廣義克羅內克函式為 矩陣的行列式,以方程式表達為
克羅內克函式
克羅內克函式
克羅內克函式其中, 是個張量函式,定義為 。
以下列出涉及廣義克羅內克函式的一些恆等式:
克羅內克函式
克羅內克函式
克羅內克函式
克羅內克函式
克羅內克函式
克羅內克函式其中, 和 是列維-奇維塔符號。
克羅內克函式
克羅內克函式
克羅內克函式
克羅內克函式
克羅內克函式其中, 是 階張量。
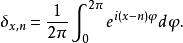
積分表示
克羅內克函式對任意的整數 ,運用標準的留數計算,可以將克羅內克函式表示成積分的形式:
克羅內克函式其中積分的路徑是圍繞零點逆時針進行。
這個表示方式與下面的另一形式等價:
克羅內克函式參見
•列維-奇維塔符號
•狄拉克測度
•同或門
