基本介紹
光滑曲面是指有連續變動的切平面的曲面,或者說有可以處處連續移動的單位法向量的曲面.若D是R²中有界的若爾當可測閉區域,向量值函式φ:D→R³是C¹類的(這意味著φ在包含D的某個開集上是C¹類的),且對任意t∈D,Dφ(t)×Dφ(t)≠0(即雅可比矩陣Jφ(t)的秩是2),這裡D,D表示偏導數,則點集S=φ(D)稱為R³中的 光滑曲面。又若φ對D的內部的限制是單射,則S稱為 簡單光滑曲面。當f連續可微時,凡是可以用形如z=f(x,y)表示的曲面S,都是簡單光滑曲面。由於上述定義中涉及曲面的參數表示φ,因此可以發生這樣的情況:一種表示滿足定義,另一種表示不滿足定義.但只要有一種表示滿足定義,就說曲面是光滑的.在光滑曲面上,單位法向量函式(Dφ×Dφ)/|Dφ×Dφ|是連續的。設φ:D→R³與ψ:E→R³是曲面S的兩個參數表示,若存在C¹類雙射g:E→D,使ψ=φ°g,則稱φ與ψ是光滑等價的。若g還滿足Jg>0,則稱g保持定向,並稱φ與ψ定向等價;若Jg<0,則稱g反轉定向,這裡Jg是g的雅可比行列式.延伸至無限遠的曲面,若任何有界的部分是光滑的,則曲面稱為光滑的 。
光滑曲面的面積
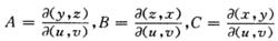
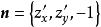
光滑曲面設S是一塊空間光滑曲面——即具有連續變動的切平面的曲面。S在xy面上的投影是D,dS是S上一小曲面塊(同時表示這個小曲面塊的面積),過dS上任一點M作法線 n= {A,B,C},當dS很小時,可以認為它是一塊以 n為法線的平面(即S在點M處的切平面上的一塊)。設 n與 k(z軸上的單位矢量)不垂直(故cos< n, k>≠0),則dS在xy平面上的投影為一面積元素 ,依投影定理,有
光滑曲面
光滑曲面是 n的一個方向餘弦,故
從而
光滑曲面對應於S的不同表示,dS有不同的形式 :
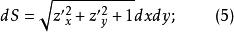
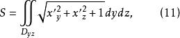
1.設S:z= z(x,y)∈C¹(D),
光滑曲面則S光滑且可取 ,從而
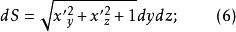
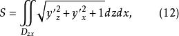
光滑曲面同理,設S:x=x(y,z)∈C¹(D),則
光滑曲面設S:y= y(z,x)∈C¹(D),則
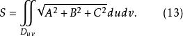
光滑曲面2.設S由參數方程
光滑曲面給出,它們都有對u,v的一階連續偏導數,且
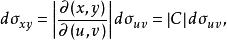
光滑曲面不全為零,這時S光滑(所說的光滑曲面,均指這樣的曲面),且可取 n={A,B,C},又由二重積分的變數代換公式可知
光滑曲面代人(4)式可得
光滑曲面把整個曲面表示為許多這樣的小曲面塊之並,每個小曲面塊的面積均用相應切平面塊的面積代替,並把整塊曲面的面積S認做這些小曲面塊面積之和當各個小曲面塊直徑的最大值趨於零時的極限,利用微元素法的思想可得曲面面積計算法,即分別把(5)~(8)式代人公式
光滑曲面中的dS,再化為二重積分,就得到下面的若干公式:
光滑曲面
光滑曲面
光滑曲面若S是由幾塊光滑曲面連線而成的分片光滑曲面,則可在每一光滑曲面塊上運用上述公式而後相加 。

