概念
價差預備費的內容包括:人工、設備、材料、施工機械的價差費,建築安裝工程費及工程建設其他費用調整,利率、匯率調整等增加的費用。
價差預備費一般根據國家規定的投資綜合價格指數,按照估算年份價格水平的投資額為基數,採用複利方法計算。
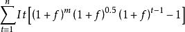
計算公式
價差預備費價差預備費公式: PF=
PF:價差預備費
n :建設期年份數
It :建設期第t年的靜態投資額
f:年漲價率
m:建設前期年限(從編制投資估算到開工建設,單位:年)
年漲價率,政府部門有規定的按規定執行,沒有規定的由可行性研究人員預測。

價差預備費是指為在建設期內利率、匯率或價格等因素的變化而預留的可能增加的費用,亦稱為價格變動不可預見費。
價差預備費的內容包括:人工、設備、材料、施工機械的價差費,建築安裝工程費及工程建設其他費用調整,利率、匯率調整等增加的費用。
價差預備費一般根據國家規定的投資綜合價格指數,按照估算年份價格水平的投資額為基數,採用複利方法計算。
價差預備費價差預備費公式: PF=
PF:價差預備費
n :建設期年份數
It :建設期第t年的靜態投資額
f:年漲價率
m:建設前期年限(從編制投資估算到開工建設,單位:年)
年漲價率,政府部門有規定的按規定執行,沒有規定的由可行性研究人員預測。
預備費是指在初步設計和概算中難以預料的工程費用。其中包括實行按施工圖預算加係數包乾的預算包乾費用。此項費用指標,按占總概算第一、二部分工程和費用合計的百分比規定。
分類 預算法中漲價預備費是對建設工期較長的投資項目,在建設期內可能發生的材料、人工、設備、施工機械等價格上漲,以及費率、利率、匯率等變化,而引起項目投資的增加,需要事...
簡介 案列分析基本預備費主要為解決在施工過程中,經上級批准的設計變更和國家政策性調整所增加的投資以及為解決意外事故而採取措施所增加的工程項目和費用,又稱工程建設不可預...
內容 運算原理工程預備費,指總概算中用以彌補在編制初步設計和總概算時難以預料,而實際可能發生的費用。
定義 主要用途建設的實際情況加以制定。2、漲價預備費(或稱:價差預備費):由於建設工期...其他費用調整,利率、匯率調整等增加的費用。價差預備費的計算方法,一般是根據...——價差預備費;n——建設期年份數;It 建設期中第t年的投資額;f ——年...
簡介 內容 分類 作用基本預備費是指為彌補項目規劃中不可預見、漏項及施工期可能由於災禍而必須預留的費用;價差預備費是指建設期由於物價變動、匯率改變、稅費調整所必須預先留置的費用。 ...
簡介、設備費、其他費用、基本預備費組成。動態部分由價差預備費、建設期還貸利息...等。(4)基本預備費主要為解決在施工過程中,由於設計變更、防止自然災害措施費以及其他一些難以預料而增加的工程項目和費用。(5)價差預備費 ·主要為解決...
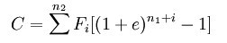
造價類型 費用構成 項目劃分包括價差預備費和建設期貸款利息。 計算公式: 動態費用=價差預備費+建設期貸款利息 1.價差預備費 計算公式: n2 C... 式中: C----價差預備費; e----年度造價上漲指數...
概述 建築工程費、安裝工程費的構成 設備購置費 其他費用 動態費用動態費用是指對構成工程造價的各要素在建設預算編制年至竣工驗收期間,因時間和市場價格變化所引起價格上漲和資金時間成本增加所發生的費用,主要包括價差預備費和建設期間貸款利息。 1.價差預備費 價差預備費...
