簡介
排水管渠遇到河流、山澗、窪地或地下構築物等障礙物時,不能按原有的坡度埋設,而是按下凹的折線方式從障礙物下通過,這種管道稱為倒虹管。倒虹管由進水井、下行管、平行管、上行管和出水井等組成。確定倒虹管的路線時,應儘可能與障礙物正交通過,以縮短倒虹管的長度,並應選擇在河床和河岸較穩定、不易被水沖刷的地段及埋深較小的部位敷設。通過河道的倒虹管,不宜少於兩條;通過谷地、旱溝或小河的倒虹管可採用一條,通過障礙物的倒虹管徑,應符合與該障礙物相交的規定。穿過河道的倒虹管管頂與規劃河底距離一般不宜小於1.0m,通過航運河道時,其位置和規劃河底距離應與航運管理部門協商確定,並設定標誌,遇沖刷河床應考慮採取防沖措施。
防污泥淤積措施
由於倒虹管的清通比一般管道困難得多,因此必須採取各種措施來防止倒虹管內污泥的淤積。在設計時,可採取以下措施 :
(1)管內設計流速應大於0.9m/s,並應大於進水管內的流速,當管內流速達不到0.9m/s時,應增加定期沖洗措施,沖洗流速不應小於1.2m/s。合流管道的倒虹管應按旱流污水量校核流速。
(2)最小管徑宜為200mm。
(3)在進水井設定可利用河水沖洗的設施。
(4)在進水井或靠近進水井的上游管渠的檢查井中,在取得當地衛生主管部門同意的條件下,設定事故排出口。當需要檢修倒虹管時,可以讓上游污水通過事故排出口直接泄入河道。
(5)倒虹管進水井的前一檢查井,應設定污泥槽。
(6)倒虹管的上下行管與水平線夾角應不大於30°。
(7)為了調查流量和便於維修,在進水井中應設定閘槽或閘門,有時也用溢流堰來代替。進、出水井應設定井口和井蓋。倒虹管進、出水井的檢修室淨高宜高於2m,進、出水井較深時,井內應設檢修台,其寬度應滿足檢修要求。當倒虹管為複線時,井蓋的中心應設在各條管道的中心線上。
(8)在倒虹管內設定防沉裝置。例如德國漢堡等市,有一種新式的所謂空氣墊式倒虹管,它是在倒虹管中藉助於一個體積可以變化的空氣墊,使之在流量小的條件下達到必要的流速,以避免在倒虹吸管中產生沉澱。
阻力計算
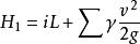
污水在倒虹管內的流動是依靠上下游管道中的水面高差(進、出水井的水面高差)H進行的,該高差用以克服污水通過倒虹管時的阻力損失。倒虹管內的阻力損失值可按下式計算 :
倒虹管式中: i—倒虹管每米長度的阻力損失;
L—倒虹管的總長度,m;
γ—局部阻力係數(包括進口、出口、轉彎處);
v—倒虹管內污水流速,m/s;
g—重力加速度,m/s 。
進口、出口及轉彎處的局部阻力損失值應分項進行計算。初步估計時,一般可按沿程阻力損失值的5%~10%考慮,當倒虹管長度大於60m時,採用5%;等於或小於60m時,採用10%。
計算倒虹管時,必須計算倒虹管的管徑和全部阻力損失值,要求進水井和出水井間的水位高差H稍大於全部阻力損失值H,其差值一般可考慮採用0.05~0.10m。
當採用倒虹管跨過大河時,進水井水位與平行管高度差很大,此時應特別注意下行管的消能與上行管的防淤設計,必要時應進行水力學模型試驗,以便確定設計參數和應採取的措施。

