基本介紹
倒根方程即全部根相應互為倒數的兩個一元整式方程。如果x,x,…,x(均不為零)是一元n次方程ax +ax +…+ax+a=0(a≠0,a≠0)的n個根,那么以這n個根的倒數
倒根方程為根的一元n次方程稱為原方程的倒根方程。把一元n次方程ax +ax +…+ax+a=0(a≠0,a≠0)的各項係數次序顛倒過來的方程ax +ax +…+ax+a=0(a≠0,a≠0)就和原方程互為倒根方程 。
相關介紹
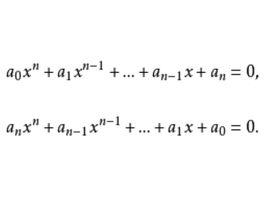
定理 對於方程
倒根方程其中a≠0,a≠0,則其倒根方程為
倒根方程
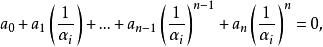
倒根方程略證:不妨設 為方程(1)的根,則得
倒根方程兩邊同除
倒根方程便得
倒根方程
倒根方程即 為方程(2)的根。
同理可證,方程(2)的各根之倒數亦為方程(1)的根。從而證得方程(1)與方程②互為倒根方程。
我們可以利用這個定理較簡捷地求出某些一元刀次方程的各根 。
倒根方程【例】解方程
略解 ∵方程(1)的倒根方程
倒根方程
倒根方程
倒根方程由互為倒根方程的定理可得方程(1)的各根
倒根方程
