基本介紹
日本學者田口玄一教授將SN比的概念引進試驗設計,用於系統和產品的開發設計,用於質量管理。具體地說,就是用於解決系統、產品和工序的最佳動態特性與最佳穩定性,用於評價和改善計測儀器和計測方法的誤差等問題。它在科研和生產中取得了極其顯著的實際成效,並發展成為現代試驗設計技術體系—— SN比試驗設計,成為試驗設計發展道路上的第三個里程碑(見下文“關於試驗設計方法”),為試驗設計技術在工業界開闢了更為重要、更為廣闊的套用領域。因此,首先在研究、設計領域內推廣套用SN比試驗設計技術,對於提高產品設計質量,改進產品技術經濟指標,改善我國科研、設計隊伍技術素質,無疑是十分必要的。
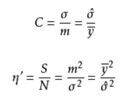
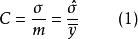
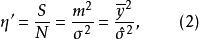
信噪比試驗設計在信噪比試驗設計中,SN比一般是指因素的主效應與誤差效應的比值,仍沿用原來的記法,但通常是用變異係數
信噪比試驗設計的倒數的平方來表示,即
信噪比試驗設計式中 S——因素的主效應,相當於信號;
N——誤差效應,相當於噪聲;
m——總體均值;
信噪比試驗設計——總體標準偏差;
信噪比試驗設計——樣本均值,即m的估值;
信噪比試驗設計
信噪比試驗設計——樣本標準差,即的估計值。
信噪比試驗設計在實際計算中,通常取的10倍對數值。即所謂分貝值來表示SN比,即
信噪比試驗設計可見,在SN比試驗設計中,SN比實質上就是特性值的平均值平方與誤差方差的比值。在一般機械工業中,式(2)為
信噪比試驗設計
信噪比試驗設計=可靠性或穩定性或尺寸精度/
信噪比試驗設計
信噪比試驗設計我們知道,均方差只反映波動的絕對量。但在系統設計、產品開發和質量管理中,實際上不少特性值其誤差往往隨著平均值的變化而變化,若平均值減少,則誤差方差也有減小的傾向。例如輸出電壓減小時,誤差方差也大多隨之減小,特別是當輸出電壓變為零時,誤差方差也為零。顯然,均方差不能反映誤差方差的
信噪比試驗設計這種相對變化。由於表示系統和產品質量特性的穩定性程度,因此,提高質量與提高SN值是同義語。可見,SN比是表征誤差方差這種相對變化的有效工具。實際套用表明,SN比是計測和評價系統、產品的質量特性、動態特性以及穩定性的科學方法 。
信噪比試驗設計的特點
與一般的正交試驗相比,SN比試驗設計具有以下幾個特點:
1.引進了SN比的概念,並發展形成了SN比試驗設計技術體系,突出了SN比的優點;
2.對因素的分類更細,主要分為控制因素、信號因素、標示因素、誤差因素四大類,並提出了對信號因素與控制因素進行鑑別的方法;
3.對因素與指標間關係的非線性技術進行了開發,強調內表因素最佳水平的選擇;
4.發展了內正交與外正交排列。
SN比試驗設計內容豐富,方法較多,套用很廣 。
關於試驗設計方法
試驗設計方法是20世紀初產生的,最先套用於農業、生物學等方面。到了40年代將試驗設計方法逐步推廣到工業生產、科學研究和經濟管理領域。
試驗設計的內容豐富、發展迅速,大致經歷了三個階段: 單因素和多因素方差分析法; 傳統的正交試驗設計法; 信噪比試驗設計法(SN)與產品的三次設計法。信噪比試驗設計法是試驗設計方法中最為重要的,是對傳統試驗方法的發展和完善。它與方差分析法和正交試驗設計法相結合,開闢了更為重要,更力廣泛的套用領域。後來又創造出調優運算方法(EVOP),並將其喪格化和程式化。
國內外經驗表明,在工業試驗中套用試驗設計法取得了顯著的經濟效益。二次大戰後,日本工業生產飛躍地發展的原因之一,就是在工業領域裡普遍推廣、套用試驗設計法。近幾年來,我國外多工廠企業套用試驗設計法也取得了十分顯著的效果。試驗設計法不僅能用於技術性領域,即實物性試驗,也能用於非技術性領域,即非實物性試驗。如生產計畫、產品銷售、事物管理等多方面 。

