背景
諧波電流在電網中流過時,與同頻諧波電壓產生諧波功率。而諧波功率的物理意義就是諧波網損,所以增大了電網的線損,對電網的經濟運行不利。
而對於電力公司來講,“線損率”是一項重要的考核指標,這是綜合反映電網經濟運行管理水平和電力企業經濟效益的主要指標之一,顯然諧波功率的產生對“線損率”是不利的。特別是近年來,隨著電力電子技術的飛速發展和人民生活質量的提高,大量的非線性負荷接入低壓電網,特別是0.4 kV民用負荷。這些負荷雖然單個容量不大,但數量巨大而且分布廣泛,會產生很大的諧波電流。
0.4 kV側的相電流諧波含量基本都在5%~20%之間,個別高達40%。中性線中的諧波含量更是在90%以上,有些甚至高達200%。這些非線性負荷發出的諧波功率大部分消耗在低壓網路,真正從低壓電網饋入高壓電網的只占很少一部分,所以準確地分析計算低壓配電網的諧波網損,對於電力公司制定節能降耗的措施非常重要。
事實上,圍繞電網中諧波網損的分析計算,在國內已開展了廣泛的研究,但是罕見有關電網或者配電網諧波網損的全面分析論述。
諧波網損估計方法
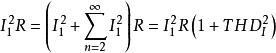
低壓配電網諧波網損估計諧波功率除了對供熱用的電熱外,無任何效益,只是以發熱的形式在傳輸過程中各環節及用電設備中消耗掉。所以諧波功率實質上就是因諧波而產生的線損一諧波網損。為了對電網的諧波網損進行估計,設電流諧波總畸變率強, 為:
低壓配電網諧波網損估計
低壓配電網諧波網損估計
低壓配電網諧波網損估計在不考慮集膚效應的情況下,線路電阻為定值 。則無諧波電流時線路損耗為 ,而有諧波電流時線路損耗為:
低壓配電網諧波網損估計所以線損增加率為:
低壓配電網諧波網損估計因此,如果總諧波含有率為30%,那么線損就會增加9%。這是在不考慮高次諧波集膚效應引起電阻增加情況下的諧波線損估計。
低壓配電網諧波網損估計此方法在理論上是完全正確的,對諧波網損的估計也是相當確切的,但是其結果僅是一個比例數字而且以很難確定的基波網損為基準,難以算出具體數字。另外在實際電網中,各相的電流畸變率並不相同,甚至相差極大。此時上述方法可以計算各相的線損增加率,但是從全網的角度出發,難以對全網或配電網的諧波網損做出估計。尤其是在三相四線制配電網中,中性線線損在配電網總損耗中占很大的比例,通過我們的測試數據計算結果很好地反映了這一點。
而上述方法不能夠全面準確地計算中性線的線損,進一步表明了利用電流畸變率在估計全網諧波網損方面的不足。而等值電阻法則完全可以對全網或配網的諧波網損進行估計計算,雖然計算上不如上述方法簡單以及由於考慮的諧波次數有限可能有些誤差,但是隨著諧波次數的增加,諧波電流甚至遞減到可以忽略不計,由此形成的誤差在允許範圍內。
等值電阻法的原理
低壓配電網諧波網損估計
低壓配電網諧波網損估計
低壓配電網諧波網損估計
低壓配電網諧波網損估計
低壓配電網諧波網損估計等值電阻法是一種成熟的網路損耗計算方法。它把配電網電流通過元件的有功損耗視為通過“配電網線路等值電阻 。”和“配電變壓器等值電阻 ”所產生的有功損耗。全網在某時段 內的功率損耗,就等於某時段 內的均方根電流 的平方與這些等值電阻之積。即:
低壓配電網諧波網損估計在不考慮諧波集膚效應,認為線路和變壓器等值電阻為一個常數的情況下,完全可以用等值電阻法計算全網或配電網的諧波網損。
電網諧波網損分析計算
用美國FLUKE公司的示波表,在幾個0.4 kV配電網進行了實地測量,測試數據如表1、表2、表3所示。
| I | I | I | I | |
| THD | 9.4% | 9.9% | 9.2% | 98.5% |
| I/A | 1150 | 1180 | 1150 | 220 |
| I/A | 65 | 69 | 71 | 204 |
| I/A | 71 | 83 | 65 | 27 |
| I/A | 42 | 47 | 45 | 14 |
| I/A | 24 | |||
| I/A | 4 |
註:測試過程中由於各種原因造成了9、11諧波數據的缺失,表2中的7次諧波數據如同。
| I | I | I | I | |
| THD | 16% | 23.1% | 17.8% | 90.7% |
| I/A | 352 | 310 | 402 | 102 |
| I/A | 26.8 | 40.9 | 42.6 | 85.6 |
| I/A | 38.7 | 48.4 | 39.8 | 10.5 |
| I/A | 2.6 | |||
| I/A | 7 | 12.7 | 13.3 | 23.3 |
| I/A | 15.5 | 12.7 | 19.3 | 3.2 |
| I/A | 13.4 | 16.4 | 20.1 | 4.5 |
| I | I | I | I | |
| THD | 7.6% | 9.6% | 8.5% | |
| I/A | 1380 | 1490 | 1430 | 285 |
| I/A | 95 | 129 | 120 | 281.9 |
| I/A | 47 | 53 | 50 | 0 |
以表1某銀行大樓配電網諧波測試數據為例,用等值電阻法分析計算配電網的諧波網損。簡化的等效電路如圖1所示。
低壓配電網諧波網損估計
低壓配電網諧波網損估計
低壓配電網諧波網損估計
低壓配電網諧波網損估計
低壓配電網諧波網損估計圖中, 、 和 、 分別是10 kV側和0.4 kV側的線路電流和線路阻抗。
此配電網變壓器型號SCBl01600/10,按照設計手冊的參數計算得變壓器歸算至0.4 kV側的電阻為:
低壓配電網諧波網損估計Ω。0.4 kV側所選導線型號為1000V聚氯乙烯,導線截面120mm,R=0.169 Ω/km。中性線型號為1000V聚氯乙烯,導線截面50mm,R=0.407 Ω/km。根據配電網實際情況0.4 kV側線路長度取為0.2 km,二次側中性線長度也為0.2 km,則相線和中性線的電阻分別為:
低壓配電網諧波網損估計Ω
低壓配電網諧波網損估計Ω
根據上述等效電路參數及所測數據計算得諧波網損如表4所示。(說明:表4中的各功率百分比是以配電網總損耗為基準;圖2中各次諧波功率百分比是以配電網中的總諧波損耗為基準;下同。)
| P | P | P | P | |
| 功率/W | 3939.76 | 4803.38 | 142910.88 | 148155.69 |
| 百分比 | 2.66% | 3.24% | 96.46% |
註:表中P一中性線線損:P一總諧波功率;P一配網總損耗;P一同功率線性負荷功率損耗。
低壓配電網諧波網損估計我們可以對此配電網的諧波網損做一個預算,由表4可知諧波引起的總功率損耗為4803.38 W。那么此配電網一年由諧波引起的電量損失為42077.6lkwh,按照每千瓦時電量0.5元計算,僅此配電網一年損失的電費將達21038.81元,而對於全國電網來說有數以萬計的這種低供低計的低壓民用負荷配電網,可見由諧波引起的電網損耗是一個多么驚人的數字。而這部分損耗往往由供電公司來承擔,所以應對這部分損耗採取有效的計費方式。
總結
實際配電網的諧波網損得到以下結論:
(1)電網中各次諧波功率均為正值,說明整體上電網是吸收諧波功率的。且電網中各次諧波功率隨著諧波次數的增加呈現遞減趨勢。
(2)配電網諧波網損占總網損的3.5%左右,個別高達7.8%。這部分損耗往往由電力公司來承擔,這是不合理也是不公平的,所以應對這部分損耗採取有效的計量和計費方式。
(3)配電網中三次諧波功率占到諧波功率的70%~96%,所以消除三次諧波對於降低諧波網損來講是至關重要的。
(4)通過上面的分析計算可知,在三相四線制配電網中,中性線線損占總網損的很大比例。這雖然主要是由諧波引起的,但還是應該在治理諧波的基礎上合理地選擇中性線,儘可能地減少中性線線損,這對於節能降耗非常重要。
(5)在非線性負荷情況下,電網需要向配電網多輸送3.5%甚至更多的電能才能滿足需求。

