“以電定熱”的流程說明
以電定熱圖1為燃氣輪機頂循環發電的冷熱電聯產系統流程,系統集成原則為“以電定熱”。空氣經壓縮機壓縮後進入回熱器預熱,預熱後的氣體進入燃燒室與壓縮後的天然氣混合、燃燒,產生的高溫煙氣被送到透平膨脹做功發電,產生的餘熱經回熱器換熱後進入吸收式制冷機組用於供熱(製冷或採暖),出口的餘熱經逆流式換熱器生產生活熱水,以滿足用戶對熱能的需求,剩餘的廢熱經處理後排入大氣。該圖示是以用電需求來確定聯產系統的總熱輸出,而總熱量輸出則以經回熱裝置換熱出來的供熱輸出來表示 。
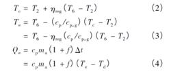
“以電定熱”的電量與熱量的計算:
(1)電量輸出計算
以電定熱式中:W—燃氣輪機出功,kW;W—空氣壓氣機耗功,kW;W—天然氣壓氣機耗功,kW;c—燃氣比熱,kJ/(kg·K);c—空氣比熱,kJ/(kg·K);π—燃氣輪機壓比;γ—壓氣機壓比;T—空氣壓氣機進口溫度(環境溫度),K;T—空氣壓氣機出口溫度,K;T—天然氣壓氣機進口溫度,K;T—天然氣壓氣機出口溫度,K;T—燃氣輪機進口溫度,K;T—燃氣輪機出口溫度,K;T—空氣壓氣機出口等熵溫度,K;T—燃氣輪機出口等熵溫度,K;η—空氣壓氣機等熵效率;η—天然氣壓氣機等熵效率;η—燃氣輪機等熵效率;W—淨功,kW;f—空燃比;k—空氣絕熱指數;k—燃氣絕熱指數。
(2)熱量輸出計算
以電定熱式中:Q—熱需求,K;Δt—傳熱溫差,K;T—排煙溫度(120℃),K;T—預熱溫度,K;T—回熱器燃氣端出口溫度,K;η—回熱效率。
從上面熱電輸出計算式可以發現,當賦予系統初始值時便可得到發電量和產熱量。如果該系統採用的是以電定熱模式運行,而建築總電量需求已經確定,則通過公式(1)、算出溫度T6,將T6代入公式(2)求得Tc後,由公式(3)算出Te,再將Te代入公式(4)可計算得出總供熱量Qe,同樣,其它參數仍可通過設備選型確定。
比較“以電定熱”與“以熱定電”
(1)基本概念
在以電定熱運行模式下,從電負荷出發,隨時跟蹤電負荷變化,把熱作為一種副產品,不足熱負荷用燃氣鍋爐補充。
在以熱定電運行模式下,從熱負荷出發,隨時跟蹤熱負荷變化,不足電負荷由公告電網供給。
(2)局限性
“以電定熱”運行方式的最大缺點是多餘的熱量會被浪費掉,不符合能源有效利用原則,特別是當電力供應相對緩和時,如果採用這種運行方式,將會要求系統減溫減壓供熱,造成大量能源浪費。另外,當系統的熱負荷不是很穩定,要求採取多發電、少供熱或者不供熱的措施時,將會大大降低聯產系統的效率。“以熱定電”運行方式的最大好處就是有效避免了熱量的浪費;此外,當電量不足時,可以方便地向電網購電。可是由於目前小型分散式電源在我國只能“併網不上網”,所以一旦電量有盈餘就會引起麻煩,多餘電量還需要合理地解決。
(3)依據熱電比選擇運行模式
當熱電比HPR =1.75時,電量輸出約等於電量需求,熱量輸出約等於熱量需求,能同時滿足熱電需求,為最佳熱電比。
隨著熱電需求比增大,燃料消耗量也相應增加,當1≤HPR<1.75時,宜採用“以熱定電”運行方式;當1.75<HPR≤2.5時,宜採用“以電定熱”運行方式。而當HPR=1.75時,兩種方式均可採用 。
(4)最佳化配置方法
對於“以熱定電”,應增設蓄電池組來存儲多於電量;對於“以電定熱”,應同時增設蓄熱器和小型燃氣鍋爐兩種設備,利用蓄熱器存儲多餘熱量,利用小型燃氣鍋爐作為調峰鍋爐來應對供熱高峰 。
