模型簡介
人際傳播網路指的是在一個群體網路中人與人之間的傳播網路模型。根據個體在網路中的位置與交流路徑,可以分為五種:鏈型或直線型、輪型或星型、Y型、所有渠道型、環型。
這四種模型最先是由社會學研究者巴維拉斯(Bavelas)和萊維特(Leavitt)開始的。巴維拉斯研究了四種傳播模式,對於每一種模式他都測量出其成員解決一個簡單問題所花費的時間,以及成員對群體運作所持的滿意度。巴維拉斯發現,Y型是最有效率的,也就是說,這個類型能夠讓成員在面對問題時用最短時間加以解決,而環型模式的士氣最高。萊維特的研究同樣證實的這一點。巴維拉斯同時發現,處於網路最中心位置的成員對群體的運作最滿意,處於越邊緣位置的成員則對群體的滿意度遞減。
各類模型
直線型網路
人際傳播網路直線型網路上的個體一般比較獨立,信息的來源也比較單一,信息一般從一個節點直接傳到另一個節點,並不會出現擴散,但是有可能出現反饋,而這種傳播的過程也符合拉斯韋爾的5W模式。直線型網路一般的具體套用出現在企業上下級的傳播中,企業的組織結構呈垂直時信息傳遞比較快,但是存在的信息失真、冗餘和噪音產生的風險也比較大。
20世紀80年代時,通用汽車、IBM和美國政府這樣的巨型組織就曾採用過直線組織結構形式,結果最高領導層與工人之間竟有多達12級的管理層,事實證明這樣的管理層數太多而使整個組織傳播失去效率。
輪型或星型網路
人際傳播網路輪型或星型網路一般存在一個中心節點,即圖中的A節點,其餘任意兩個節點要進行信息傳播必須經過這個A節點。這種傳播網路的優點在於其餘節點的損壞並不影響整體網路的運行,但是缺點是對中心節點的依賴過大。這種模型一般可套用於網路媒體傳播關係,比如微博的傳播,一般信息都會有一個或者幾個比較大的信息結點,而B、C、D、E等結點都是被A影響的用戶,BCD等結點再去影響以他們自己個體為中心的網路其他結點,這種傳播的過程也符合拉扎斯菲爾德(Paul Lazarsfeld)在美國大選的調查報告《人民的選擇》中提出來的“兩級傳播理論”(two-step flow theory)。星型傳播網路中的中心結點A就是意見領袖,而BCDE則是被其影響的個體。如若BCDE再進行下一級的傳播,則是美心理學家羅傑斯(C·R·Rogers)在兩級傳播理論基礎上提出來的“多級傳播理論”(multi-step flow theory)。
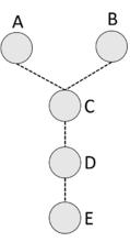
Y型網路
人際傳播網路Y型網路與直線型網路有些類似,但在前端節點部分Y型網路把一個具有決定權的節點分化成了兩個平等節點。節點的演變意味著信息源的可靠度上升,如果是組織模型,則意味著組織內員工的信服度上升並且傳輸的速度不變;如果是信息傳播模型,則意味著信源的名氣和威信增強,人們更願意去相信並傳播他們發布的訊息。
因此,在巴維拉斯的發現中Y型是最有效率的,也就是說,這個類型能夠讓成員在面對問題時用最短時間加以解決。
所有渠道型網路
人際傳播網路所有渠道型意味著這個網路中沒有中心節點,或者每個節點都是中心,因為他們的權重或者邊是相等的。在這種網路下,信息的傳播非常透明,人們的交流非常即時,在實際中可以視為一群同事、朋友正在討論一個主題,參加討論的每一方都能即時收到信息並作出反饋。在網路傳播中,微信群、QQ群、BBS也有類似的機制,但是在其中我們必須要考慮到網路傳播的異步。
環型網路
人際傳播網路環型網路中的所有節點都是平等的,這點和所有渠道型非常相似,但是需要注意的是環型中的結點雖然能收到來自所有節點的訊息,但是這些訊息都是二手訊息,每個節點都只能直接收到上一家的訊息並編譯後傳給下一家。這樣的模式傳播渠道會相對單一或者受限,但是巴維拉斯認為這樣的模式下人們的士氣最高,我們可以理解為在一個相對不透明的閉環中,由於彼此之間都是相對平等的而且傳播方向受限,因此節點之間會形成合作與配套的信任。具體的套用主要有大型集團中部門與部門間的合作,或者是一個產業鏈上各端合作形成閉環。網路傳播中的眾包模式也可視為部分借鑑了這種概念。

