算法內容
假設
交替最小二乘法
交替最小二乘法假設要對一個低階的稀疏矩陣 進行矩陣分解,使得 。
損失函式
交替最小二乘法
交替最小二乘法
交替最小二乘法
交替最小二乘法
交替最小二乘法
交替最小二乘法
交替最小二乘法
交替最小二乘法
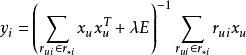
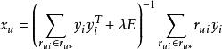
交替最小二乘法設 為矩陣 的第 個列向量, 為矩陣 的第 個列向量。有最小二乘錯誤加上正則化項的損失函式 ,其中 為參數。只要求損失函式最小時的 和 即可。
偽代碼
交替最小二乘法
交替最小二乘法初始化 和
repeat
for u=1...n do
交替最小二乘法end for
for i=1...m do
交替最小二乘法end for
until循環足夠次數
套用
常用於推薦算法。
