基本概念
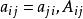
二級曲線(two class curve)是平面射影幾何研究的基本對象,若平面上直線的齊次坐標為[u,u,u],則滿足三元二次齊次方程
二級曲線的直線的全體稱為二級曲線。這裡a為實數且至少有一個不是零,該方程稱為二級曲線的方程,(a)稱為係數矩陣。若係數矩陣的行列式|a|≠0,則二級曲線稱為非退化的,否則稱為退化的、退化的二級曲線是兩個點。在射影平面上,成射影對應的兩個點列對應點的連線的集合是二級曲線 。
二級曲線的方程
在射影平面上,配極變換的自共軛直線的集合稱為 二級曲線 。
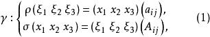
對於給定的配極變換,即
二級曲線
二級曲線
二級曲線
二級曲線
二級曲線其中 是在 中 的代數餘子式。易得 對應的二級曲線的方程。
二級曲線
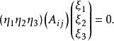
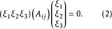
二級曲線配極 對應的二階曲線 的方程是
二級曲線就是
二級曲線
二級曲線
二級曲線若 是雙曲型的,則它有無窮多條自共軛直線,於是雙曲型配極對應的二級曲線有無窮多實直線,有時也將它稱為二次線束,見圖1。
圖1
二級曲線若 是橢圓型的,則它無自共軛直線,於是橢圓型配極對應的二級曲線不存在,或說對應虛二級曲線。
通過矩陣,配極變換與二階曲線(或二級曲線)有著一種對應關係:雙曲型配極對應實曲線;橢圓型配極對應虛曲線。因此,可以從有關配極的一些概念出發,通過“翻譯”,建立有關曲線的對應概念。不過,人們常常關心的是有實圖形存在的情況,因此,我們只就雙曲型配極對應的曲線討論之。
二級曲線
二級曲線
二級曲線對於雙曲型配極 對應的二級曲線 ,就一點與 的關係而言,有以下三類:
二級曲線
二級曲線1.切點: 的自共軛點稱為 的切點,切線就是過該點的自共軛直線,如圖2中的點a;
圖2
二級曲線2.二切線點:有二自共軛直線通過的點稱為 的二切線點,如圖2中的點b;
二級曲線3. 無切線點:無自共軛直線通過的點稱為 的無切線點,如圖2中的點c 。
二級曲線的極點和極線
二級曲線配極變換 的極點和極線,稱為其對應二級曲線的極點和極線。關於二級曲線的極點與極線有下面結果,
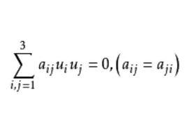
定理1對於二級曲線
二級曲線
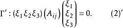
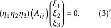
二級曲線直線 的極點方程為
二級曲線推論1 直線y關於二階曲線(2)'的極點的坐標為
二級曲線既然曲線的切線就是對應配極的自共軛直線,故它的極點是自共軛點,而自共軛點在曲線上,從而切線就是在曲線上的點的極線,該點就是切點,它是屬於二級曲線的直線的極點。這樣,我們立刻得到
二級曲線推論2 屬於二級曲線(2)'的任意直線 的切點方程為
二級曲線
