基本信息
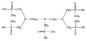
二乙烯三胺五甲叉膦酸五鈉結構式CAS:68155-78-2
化學式:DTPMP·Na5
分子式:C9H23O15N3P5Na5 相對分子質量:683.2
性能與用途
二乙烯三胺五甲叉膦酸五鈉是一種中性產品,無毒,固體,極易吸潮易溶於水,在水處理中用作循環冷卻水和鍋爐水的阻垢緩蝕劑。 可用做過氧化物穩定劑、紡織印染用螯合劑、顏料的分散劑、化肥中微量元素攜帶劑、混凝土添加劑。此外,在造紙、電鍍和化妝品等方面也得到了廣泛套用。
技術指標
| 項 目 | 指 標 |
| 外 觀 | 琥珀色透明液體 |
| 活性組分(以DTPMPA計) % 24.0-26.0 | |
| 活性組份(以DTPMP•Na5計) % | 28.5-31.0 |
| 總磷(以PO43-計)% | 19.7-21.7 |
| 氯化物 (以Cl-計) % ≤ | 5.0 |
| 密度(20℃)g/cm3 ≥ | 1.25 |
| Fe(以Fe2+)含量ppm ≤ | 20 |
| PH值(1%水溶液) | 6.0-8.0 |
包裝與貯存
液體用料塑桶包裝,每桶25kg或250kg,貯於室內陰涼乾燥處,防潮,貯存期為十個月。
安全防護
中性,操作時注意勞動保護,應避免與皮膚、眼睛等接觸,接觸後用大量清水沖洗。
