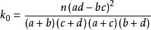
示例
| A1 | A2 | 總計 | |
| B1 | a | b | a+b |
| B2 | c | d | c+d |
| 總計 | a+c | b+d | n |
其中n=a+b+c+d
獨立性檢驗
解:
假設H0:變數A和B沒有關係
二乘二列聯表由列聯表得
二乘二列聯表查表得p=
所以變數A和B有相關關係,犯錯誤的機率小於p
(犯錯誤機率不超過p的機率下不能推斷A和B有關係)
若總體中的個體可按兩種屬性A和B分類,這兩種屬性各只有兩種等級A1,A2和B1,B2。將同時符合(A1,B1),(A2,B1),(A1,B2),(A2,B2)的個體數量排列成一個2X2表格,稱為二乘二列聯表。
| A1 | A2 | 總計 | |
| B1 | a | b | a+b |
| B2 | c | d | c+d |
| 總計 | a+c | b+d | n |
其中n=a+b+c+d
解:
假設H0:變數A和B沒有關係
二乘二列聯表由列聯表得
二乘二列聯表查表得p=
所以變數A和B有相關關係,犯錯誤的機率小於p
(犯錯誤機率不超過p的機率下不能推斷A和B有關係)
一、二部分的分界線。東院呈方形,邊長56米,四面均有夯土房基,院內有1座...拐角各有一條曲尺形牆址,將二、三部分分開;第三部分,只在中部有一座南北...叢葬式、一域多墓叢葬式 (包括一域三墓、一域四墓等)、聯域並穴叢葬式...
地理位置 歷史沿革 陵區布局 主要陵區 主要特點是三座院落的過殿,也是一、二部分的分界線。東院呈方形,邊長56米,四面均有...。第二部分北端東、西兩拐角各有一條曲尺形牆址,將二、三部分分開;第三部分...等)、聯域並穴叢葬式等。陪葬墓主人一般為爵高位重的皇親國戚或貴族官僚。每座帝陵...
地理位置 歷史沿革 陵區布局 主要陵區 主要特點,也是一、二部分的分界線。東院呈方形,邊長56米,四面均有夯土房基,院內有...、西兩拐角各有一條曲尺形牆址,將二、三部分分開;第三部分,只在中部有一座...式、一域多墓叢葬式 (包括一域三墓、一域四墓等)、聯域並穴叢葬式等。陪葬...
地理位置 歷史沿革 陵區布局 主要陵區 主要特點在城台二、三層展廳常年對外展出,展廳面積3200餘平方米,基本陳列主題為...》、《走向共和——紀念辛亥革命100周年展覽》、《姜家林聯墨藝術作品展》、《劉...,雕龍碑文化各期文化特徵表和展品。通過這些文物,可以領略到雕龍碑遺址的輝煌...
發展歷史 基本陳列 館藏文物 參觀信息