簡介
乘法示性類是由乘法序列引入的一種上同調類。
乘法示性類
乘法示性類
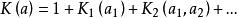
乘法示性類設Λ是包含1/2的整環,{Kn}是係數在Λ中的乘法序列,對於實定向向量叢ξ,令 顯然得到一個“示性類”序列, 它關於叢映射是自然的,且滿足乘法公式 k(ξ)=1,稱k(ξ)為乘法示性類。
示性類
(characteristic class)
示性類是示性類理論的基本概念。
施蒂費爾-惠特尼類、陳類、龐特里亞金類等統稱為示性類。施蒂費爾-惠特尼數、陳數、龐特里亞金數等總稱為示性數。
乘法序列
(multiplicative sequence)
乘法示性類
乘法示性類
乘法示性類
乘法示性類
乘法示性類
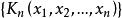
乘法示性類乘法序列是多項式構成的一個序列,設∧是一個固定的有單位元的交換環, 代表一個分次∧代數,對於每個這樣的 A*有一個相聯繫的交換環 ,是由形式和式 構成的 是多項式序列,其係數在∧中,x是i次,每個多項式 是 n 次齊次多項式,對於首項為 1 的元素 a∈ ,定義為一個首項為1的元素 K(a):
乘法示性類
乘法示性類若K(ab)=K(a)K(b) 對所有這樣的分次代數 A*及所有首項為1的元素a,b∈ 成立,則稱 {K}構成一個多項式的乘法序列。
