基本介紹
把一個二水平因素安排在三水平的正交表中進行試驗,可採用擬水平法。現若將兩個二水平的因素進行兩兩搭配後有四種組合,選其中三個組合設立為一個三水平的組合因素,且安排在三水平的正交表中進行試驗,這種方法叫做 組合法。能夠這樣做的原因在於兩個水平因素的自由度之和為2,而三水平正交表的列的自由度也是2。因此,在三個水平表中,就可以將兩個二水平因素放在同一列上,但要求這個二水平因素間無互動作用。所以,組合法是在正交表的多水平列上安排水平較少的因素的另一種方法 。
舉例說明
並列法設計 若在一個試驗中要考察兩個二水平因素A、B,一個三水平因素C,這個問題有幾種設計方法,用 正交表採用組合法來安排試驗 。
並列法設計 將 正交表的第1列改造為兩個二水平列,令:
並列法設計 表頭設計見表1。
| 因素 | A | B | C | ||
| 列號 | 1' | 1'' | 2 | 3 | 4 |
試驗方案如表2所示。
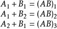
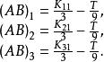
並列法設計 這樣,原來的第1列被看成“組合因素” 的效應列,按上述規定:
並列法設計
並列法設計 為水平時=
並列法設計
並列法設計 為水平時=
並列法設計
並列法設計 為水平時=
因此
並列法設計 | 試驗號 | 因素 | 試驗結果 (x) | |||||
並列法設計 | C | ||||||
| 列號 | |||||||
| 1(原) | 1'(A) | 1''(B) | 2 | 3 | 4 | ||
| 1 | 1 | 1 | 1 | 1 | 1 | 1 | x |
| 2 | 1 | 1 | 1 | 2 | 2 | 2 | x |
| 3 | 1 | 1 | 1 | 3 | 3 | 3 | x |
| 4 | 2 | 1 | 2 | 1 | 2 | 3 | x |
| 5 | 2 | 1 | 2 | 2 | 3 | 1 | x |
| 6 | 2 | 1 | 2 | 3 | 1 | 2 | x |
| 7 | 3 | 2 | 1 | 1 | 3 | 2 | x |
| 8 | 3 | 2 | 1 | 2 | 1 | 3 | x |
| 9 | 3 | 2 | 1 | 3 | 2 | 1 | x |
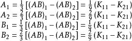
由於不考慮A與B之間的互動作用,故人為組合因素(AB)的效應為A與B效應的組合:
並列法設計
並列法設計 因素A、B的平方和為:
S=B取第一水平時A各水平對應指標的平方之和/組合因素(AB)水平的重複次數-B對應指標和的平方/B的重複次數;
S=A取第一水平時B各水平對應指標的平方之和/組合因素(AB)水平的重複次數-A對應指標和的平方/A的重複次數 。
即:
並列法設計 
