控制
以恆定空速進行五邊進近時,下滑道角度和下降率是通過俯仰姿態和升降舵控制的。不管是否使用了電子下滑道參考,最優的下滑道角度是2.5°~3°。在目視進近時,飛行員會有低角度進近的傾向,然而,低角度的進近會增加著陸距離,應該避免這點。例如,不使用推薦的3°而是用2°進近角會增加500ft著陸距離。
一個更加常見的錯誤是在跑道入口時的高度過高。這會導致不穩定的進近,或者即使穩定但是會變成高的進近。也可能在儀表進近過程中發生高的進近,這時復飛點接近或處於跑道入口。不管是什麼原因,在跑道入口上空高度過大極有可能導致在超過正常瞄準點之外的區域接地。在跑道入口上空額外增加50ft高度將大約增加1000ft著陸距離。飛機以準確的高度(跑道上空50ft)到達進近終點的視窗也是很重要的。
影響及改善
通過對下滑道形成的分析,不難看出影響下滑道的因素包括:實際地面的反射狀況、天線的高度、反射面的坡度、上下天線的相位、發射機本身的原因等。
(1)實際地面的反射係數
實際地面並不是理想導體,反射信號有一定的損耗,並且隨反射角的不同其反射係數R(θ)也不一樣,圖6給出頻率f=10Hz~1GHz的反射係數典型值。
下滑道 在一年四季中由於地面反射特性的變化(乾地、濕地、雪地等),下滑角將發生變化;同樣,如果在下滑信號反射區域內出現部分乾燥地面和部分潮濕地面,由於乾地和濕地的反射係數不同,空中信號合成的幅度也不同,DDM會發生變化,那么下滑道的結構將會變差。
(2)源天線和鏡像天線的實際相位差
在理論分析時,認為源天線和鏡像天線所發信號平行到達P點,距離差D=2hsinθ,而實際上隨著P點的距離不同,距離差D會有所變化。設P點與天線陣的距離為q,夾角為θ,源天線和鏡像天線到P點的距離差為,式(7)
下滑道 可見,隨著接收點距離q的減小,鏡像天線相位延遲變小,信號合成矢量幅度發生變化,SBO(上天線所發)在空間合成信號變化更大,下滑道的彎曲程度變大,使下滑道產生上翹現象,這也正是所需要的。
(3)CSB和SBO初始相位的影響
通過前面分析,CSB和SBO的初始相位對1區、2區下滑道結構的影響不大,但對3區結構有一定的影響,SBO初相超前,減小3區下滑道上翹程度;SBO初相滯後,增加下滑道上翹程度,在校飛中,可根據需要適當改變SBO初相的辦法來改善下滑道的結構,但最大不能超過30°。
(4)發射機功率對下滑道結構的影響
適當減小發射機總功率會對下滑道線性結構有所改善,在同樣的反射條件下,總功率的降低,相當於反射能力和造成下滑道彎曲的程度得到改善,當然,發射機功率的降低必須保證空中信號達到ILS覆蓋範圍。
(5)SBO功率對下滑道結構的影響
適當減小SBO功率,減少位移靈敏度,即增加寬度,對改善下滑道線性結構也有所幫助,一般可將半寬度由0.36°放寬到0.40°。由於位移靈敏度的減小,在同樣的反射條件下,減小下滑道彎曲的偏移量,從而使下滑道線性得到改善,這一條可在校飛中作為改善下滑道線性結構的應急措施。
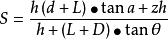
反射點的計算
安裝在離地面高度為h的水平極化天線,其反射信號的傳播路徑如圖7所示。設天線掛高h,下滑角θ,下滑天線到入口處的縱向距離D,,。在距入口處水平距離為L的下滑道上某點P,其反射點距下滑天線的距離S為,式(8)
下滑道 式(8)中,入口的縱向距離D、下滑角θ、天線掛高h(根據設備類型確定)為已知量,因此反射點的距離S將隨接收點的位置不同而發生變化。
(1)反射點縱向距離的計算
設頻率f=333.8Hz,下滑角θ=3°,縱向上坡坡度α=0.15°,天線距入口縱向距離D=330m。
零基準天線:下天線掛高:h=λ/4sin(θ-α)=4.52m,上天線掛高:2h=9.04m;
“A”點:L=7408m(按ICAO規定)
代入式(8)得:下天線反射點:S1=85.30m,上天線反射點:S2=168.73m;
“B”點:L=1050m(按ICAO規定)
代入式(8)得:下天線反射點:S=81.17m,上天線反射點:S=153.33m;入口處:L=0,入口高度h=15m,S=h×D/(h+h)。下天線反射點:S=76.41m,上天線反射點:S=124.09m;另外,下滑覆蓋範圍18km,L=18km處,上天線反射點:S=170.88m。
對於Ⅰ類以上ILS,要求“B”以後經入口直至著陸點的下滑道結構良好,所以縱向反射點距離S=0m,因此可得零基準下滑道反射點縱向範圍為0~170.88m;同理可得:M陣下滑道反射點縱向範圍為0~255.14m;邊帶基準下滑道反射點縱向範圍為0~128.46m。
考慮到要求下滑信號在寬度(±0.36°)範圍內DDM有良好的線性變化,在實際計算時,根據式(8),θ取2.64°,得零基準下滑道反射點縱向範圍為0~194m;M陣下滑道反射點縱向範圍為0~290m;邊帶基準下滑道反射點縱向範圍為0~146m。
(2)反射點橫向距離的計算
設航向寬度為W=2a,航向天線陣距入口的距離為d,下滑天線和跑道中心線的橫向距離為z,橫向反射點距離,式(9)
下滑道 設航向寬度W=5°,航向天線陣距跑道入口的距離d=2405m,下滑天線和跑道中心線的橫向距離z=130m,根據式(9)計算出下滑天線左右橫向反射點的距離為:零基準反射點橫向範圍為-7.10~9.52m;M陣反射點橫向範圍為-10.59~14.21m;邊帶基準反射點橫向範圍為-5.33~7.15m。
(3)反射區場地保護措施
下滑道 通過上述計算,已經確定下滑反射區的範圍,因此對反射區範圍內場地給以嚴格平整,並建立良好的排水設施,有條件的可在保持反射面平整後鋪植一層薄薄的養護短草,以保證反射面的反射係數相同,以使下滑道結構得到良好的改善。通過前面的分析可知,3區內源天線和鏡像天線相位延遲減少,式(7)後一項減小,同時反射信號反射角增大,反射係數R(θ)增大如圖6所示,因此,“B”點反射點以後的反射區域(敏感區)場地要求更高。通常情況可按圖8所示範圍進行平整,並在該區內鋪上一層沙,這樣下雨時不會出現部分積水現象。更好的措施是在反射面平整後鋪上一層鋼絲網,鋼絲網分別與接地極固定,然後再蓋上一層薄水泥混凝土,這樣既牢固,效果更好。
結構影響原因
保護區環境對下滑道結構的影響
(1)下滑保護區內樹木對下滑道結構的影響
在下滑天線反射區內,當信號輻射時,必然有一部分能量被天線陣前方和周圍的物體輻射或反射,對信號形成多路干擾,導致航道彎曲或結構變壞。多路徑干擾有固定物體干擾和移動物體干擾2個部分組成,如地面的起伏不平,近、遠場有建築物,環場路及公路上的汽車等。
對於Ⅰ類盲降設備下滑道彎曲的幅度有以下規定:覆蓋區邊緣到C點不得大於0.035DDM(30μA)。航道彎曲極限的推導公式為
下滑道 航道彎曲極限為固定物體引起的航道彎曲量(X)和移動物體引起的航道彎曲量(Y)的平方和的開方。
下滑道 如圖1所示,我們可以看出由於建築物對輻射信號形成定向反射,飛機接收到的信號是由直達波和反射波合成。導致的下滑道結構發生變化使飛機偏離正常的航道。考慮固定物體對輻射信號的影響後,再確定移動物體對輻射信號的干擾。
(2)保護區範圍內的移動干擾物對下滑道結構的影響
如飛機、車輛等對下滑道的彎曲極限影響可以通過公式推導出來。
下滑道 通過公式可以確定移動干擾物體對信號影響的最大彎曲量。跑道延長線上的高速公路剛好在A點範圍內,無論是高速公路的地基還是路上的車輛都對下滑道結構造成一定的影響。
(3)下滑反射區場地變化等因素的影響
下滑道 下滑反射區場地的地面反射特性會隨四季的變換髮生變化。例如反射區雜草長高將會間接改變天線掛高,地面的乾濕度的變化、雪地等都會產生不同的反射係數等。由於坡度的影響,天線基礎與跑道道面的高度不一致,就相當於改變了天線掛高。從而改變下滑道的正常軌跡,對於Ⅰ類儀表著陸系統,場地標高變化幅度在30cm以內時,將不會發生下滑角告警的現象(天線掛高改變30cm,相應的下滑角誤差為0.24°)。如圖2所示。
通過圖1、圖2兩種情況,我們可以看出障礙物對下滑道的影響。由於地面的起伏不平,在A點到B點的區域內出現信號反射,造成下滑道的向上彎曲,從而導致下滑道的變形,下滑道結構不好。
載波與邊帶相位原因造成的下滑道結構不好
發射機內CSB和SBO的相位關係不正確,也會造成下滑道的彎曲。
下滑道 機載接收機通過比較90Hz和150Hz的調製度來確定下滑道位置的,所以90Hz和150Hz信號在設備發射機內發射的信號要保持一定的調製平衡。對於CSB信號而言,90Hz和150Hz的調製度是相等的,所以DDM為0。對於SBO場型而言,90Hz和150Hz的相位剛好反相,即+150Hz和-90Hz,SBO信號的+150Hz加強了右側的150Hz信號,而-90Hz削弱了CSB的90Hz信號。因而在下滑道的下邊90Hz信號減弱,造成了150Hz大於90Hz的結果。下滑道上邊的情況恰恰相反,為90Hz大於150Hz。相位正交的C+SB90和C+SB150分別輸入90°混合器的相鄰的2個連線埠求積分,在另外2個連線埠得出載波加邊帶(CSB)和純邊帶(SBO)。如圖3所示。
混合器的輸入端的C+SB90和C+SB150功率不平衡,會導致SBO連線埠的SB90和SB150間功率不平衡,會使CSB連線埠的90Hz和150Hz的調製深度不相等,使DDM不為0。出現下滑道偏移的情況,導致結構不好。
天線陣子的偏移對下滑道結構的影響
下滑道 下滑天線十幾米高,所以不能安裝在跑道表面,橫向距離一般在120米左右。天線的這種偏移對輻射信號的質量只有1個小的影響,最顯著的影響是0DDM的軌跡不再是1條精確的直線,而在最後的幾百米有1個雙曲彎曲甚至上翹。
如圖4所示,上天線和下天線發射到跑道中心線由於路徑差而導致相位差θ,路徑差在2個天線單元的輻射場之間產生了1個相位差,從而導致CSB和SBO的音頻信號90Hz和150Hz由於相位出現偏差,不能吻合,以至於飛機接收不到正確的下滑道信號,也就是說,在理論的下滑道上DDM值不為0。
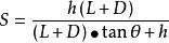
為了補償這個影響,天線單元要進行偏移,這個偏移要使每個天線單元到跑道中心的距離相等。如圖5所示。計算偏移量用下面的公式
下滑道
下滑道 其中,上天線向跑道偏移Δ/2,下天線偏離跑道Δ/2。H為上天線高度,H為下天線高度,d為下滑天線到跑道中心線的距離。天線陣子的偏移量如果不準確,會直接導致下滑道的結構不好,產生錯誤的下滑道,直接影響著陸飛機的正常降落。

