簡介
三角形二次元素是三角學的基本概念之一,指與三角形有關的圖形面積,如三角形的面積、外接圓的面積及內切圓的面積等。
計算公式
三角形面積
三角形二次元素1.已知三角形底a,高h,則 。
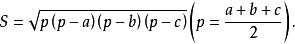
2.(海倫公式)已知三角形三邊a,b,c,則
三角形二次元素
三角形二次元素3.已知三角形兩邊a,b,這兩邊夾角C,則 ,即兩夾邊之積乘夾角的正弦值。
三角形二次元素4.設三角形三邊分別為a、b、c,內切圓半徑為r,則三角形面積= 。
三角形二次元素5.設三角形三邊分別為a、b、c,外接圓半徑為R,則三角形面積= 。
三角形二次元素
三角形二次元素
三角形二次元素
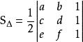
三角形二次元素6.行列式形式: 為三階行列式,此 在平面直角坐標系內 ,這裡 選取最好按逆時針順序從右上角開始取,因為這樣取得出的結果一般都為正值,如果不按這個規則取,可能會得到負值,但不要緊,只要取絕對值就可以了,不會影響三角形面積的大小。該公式的證明可以藉助“兩夾邊之積乘夾角的正弦值”的面積公式 。
7.海倫——秦九韶三角形中線面積公式:(其中M,M,M為三角形的中線長。)
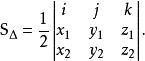
三角形二次元素8.根據向量求面積:
三角形二次元素其中, (x,y,z)與 (x,y,z)分別為向量 AB與 AC在空間直角坐標系下的坐標表達,即:向量臨邊構成三角形面積等於向量臨邊構成平行四邊形面積的一半。
三角形外接圓的面積
三角形二次元素由正弦定理可得,其中R為外接圓半徑,已知外接圓半徑易得外接圓面積。
三角形內切圓的面積
三角形二次元素直角三角形的內切圓半徑(其中a,b為直角邊,c為斜邊),已知內切圓半徑易得內切圓面積。
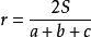
三角形二次元素一般三角形的內切圓半徑為,S是三角形的面積公式,已知內切圓半徑易得內切圓面積。
套用
為了提高三角形線性元素的精度,可以通過在其上增加節點並相應地提高插值多項式的次數的辦法,構造三角形二次元素、三角形三次元素等。
