定理
三角函式公式算面積
三角函式公式算面積在△ABC中,其面積就應該是底邊對應的高的1/2,不妨設BC邊對應的高是AD,那么△ABC的面積就是AD*BC*1/2。而AD是垂直於BC的,這樣△ADC就是直角三角形了,顯然
,由此可以得出,AD=ACsinC,將這個式子帶回三角形的計算公式中就可以得到:。同理,即可得出三角形的面積等於兩鄰邊及其夾角正弦值的乘積的一半。
公式
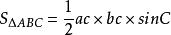
若△ABC中角A,B,C所對的三邊是a,b,c:
則S△ABC=1/2absinC=1/2bcsinA=1/2acsinB.

