簡介
回歸這一術語最早來源於生物遺傳學,由高爾頓(Francis Galton)引入。
回歸的現代解釋:回歸分析是研究某一變數(因變數)與另一個或多個變數(解釋變數、自變數)之間的依存關係,用解釋變數的已知值或固定值來估計或預測因變數的總體平均值 。
因變數:Y
自變數:X或X1,X2,…等
高爾頓的興趣在於尋找為什麼總體身高分布趨向穩定。現在我們所關心的已不是這個問題,而是想知道在已知父親身高的情況下,兒子的身高的平均變化如何。換句話說,就是已知父親身高來預測兒子的平均身高。
定義
一元線性回歸分析預測法,是根據自變數x和因變數Y的相關關係,建立x與Y的線性回歸方程進行預測的方法。由於市場現象一般是受多種因素的影響,而並不是僅僅受一個因素的影響。所以套用一元線性回歸分析預測法,必須對影響市場現象的多種因素做全面分析。只有當諸多的影響因素中,確實存在一個對因變數影響作用明顯高於其他因素的變數,才能將它作為自變數,套用一元相關回歸分析市場預測法進行預測 。
一元線性回歸分析法的預測模型為:
一元線性回歸式中, x代表t期自變數的值;
一元線性回歸代表t期因變數的值;
a、b代表一元線性回歸方程的參數。
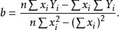
a、b參數由下列公式求得(用代表):
一元線性回歸
一元線性回歸一元線性回歸模型
建立模型
1、選取一元線性回歸模型的變數 ;
2、繪製計算表和擬合散點圖 ;
3、計算變數間的回歸係數及其相關的顯著性 ;
4、回歸分析結果的套用 。
模型的檢驗
1、經濟意義檢驗:就是根據模型中各個參數的經濟含義,分析各參數的值是否與分析對象的經濟含義相符;
2、回歸標準差檢驗;
3、擬合優度檢驗;
4、回歸係數的顯著性檢驗。

