β–二羰基化合物的結構特徵
凡是分子中兩個羰基被1個飽和碳原子隔開的化合物均稱為β–二羰基化合物。這兩個羰基可以是酮、醛的羰基,也可以是羧酸或酯中的羰基。β–二羰基化合物可分為:β–二酮,CHCOCHCOCHβ–酮酸及酯,例如CHCOCHCOOCH酸及其酯,例如CHOOCCHCOOCH。
在β–二羰基化合物中處於兩個羰基之間的亞甲基,受到兩個羰基的影響成為活性亞甲基,這個亞甲基上的氫原子具有較大的酸性(pK10~14),在鹼的作用下易形成碳負離子。
β–二羰基化合物的性質
本部分討論β–二羰基化合物的性質,主要以乙醯乙酸乙酯為例。
化學反應性質
(1) 酸性 乙酞乙酸乙酷中亞甲基質子具有明顯的酸性,在強鹼作用下容易生成碳負離子,負電荷可以離域到兩個羰基之間,比較穩定。碳負離子具有強親核性能,與鹵代烴或酸鹵等可發生親核取代反應。
(2) 乙醯乙酸乙酯酮式分解 乙醯乙酸乙酯皂化後脫羧反應乙醯乙酸乙酯在鹼性條件下水解,酸化後生成β-酮酸-乙酸乙酯。羧基的α-C上有一個吸電子的醯基,因此它很容易脫羧。在加熱情況下放出CO,生成丙酮,這一過程稱為乙醯乙酸乙酯的酮式分解。
(3) 乙醯乙酸乙醋酸式分解 用濃鹼溶液和乙醯乙酸乙醋同時加熱,然後酸化,得到的主要產物是兩個酸,所以稱為酸式分解。
(4)發生親核加成或取代反應 乙醯乙酸乙酯在醇鈉作用下生成碳負離子後,與鹵代 烷烴發生親核取代反應或與α,β-不飽和羰基化合物發生 1,4-加成反應。
結構鑑別性質
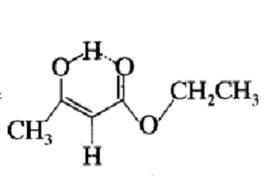
①能與羥氨、苯肼等反應生成肟、苯腙等;也能與亞硫酸氫鈉、 氫氰酸等發生加成反應;能被還原成β-羥基酸酯等。這說明乙醯乙酸乙酯具有如下的酮式結構: OHCCCHCOOCHCH
②能與金屬鈉作用放出氫氣而得到鈉衍生物;與五氯化磷作用生成3-氯-2-丁烯酸乙酯;可與乙醯氯作用生成酯,說明分子中有 羥基存在。能使溴的四氯化碳溶液退色,說明有雙鍵存在;與三氯 化鐵溶液呈紫色,說明有烯醇式結構存在。乙醯乙酸乙酯存在如下 烯醇式結構: OHHCCCHCOOCHCH
β–二羰基化合物的製備
β–酮酸酯化合物可以通過酯的Claisen縮合反應來製取。 酯(乙酸乙酯)在強鹼 (乙醇鈉)的催化下縮合,經酸化,獲得β-酮酸酯(乙醯乙酸乙酯) 。
β–二羰基化合物 丙二酸醋化合物可以通過α-鹵代酸鹽與NaCN反應後水解酸化得到。
β–二羰基化合物 β–二羰基化合物用於工業合成
蘋果酯-B
蘋果酯-B(Froctono-B,2,4-二甲基-2-乙酸乙酯基-1,3-二氧環戊烷),是一種具有新鮮蘋果和草酶香氣的香料,廣泛用於花香型和果香型香精的調配,工業上常以對甲苯磺酸、硫酸、三氯化鋁等作催化劑,用乙醯乙酸合成,產率可達50%-70%。
β–二羰基化合物 異噁唑磷
3-羥基-5-苯基異噁唑是一種重要的中間體,1961年首先由義大利年發現它與二乙氧基硫代磷醯氯反應所製得的產品具有很好的生物活性,1970年由日本三共株式會杜開發為廣譜性的高效接觸性殺蟲、殺蟎劑。商品名為異噁唑磷。它可以用苯甲醯氯與乙醯乙酸乙酯反應,製得苯甲醯乙酸乙醋,然後經羰基保護、羥胺縮合等反應製得,產率大於60%。
β–二羰基化合物 
