定義
平方米(㎡,法文:mètre carré,英式英文:square metre,美式英文:square meter),是面積的國際單位。是生活和工作中常用的測量方式標準。
定義:邊長為1米的正方形的面積被定義為1平方米,一塊任意形狀的平面的面積如果等效於邊長為1米的正方形的面積也稱為1平方米。
米(m,法文:mètre,英式英文:metre,美式英文:meter),是長度的國際單位,國際標準定義為是1/299792458秒的時間間隔內光在真空中行程的長度。
計算
M2[㎡]長方形: {長方形面積=長×寬}
M2[㎡]正方形: {正方形面積=邊長×邊長}
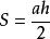
M2[㎡]平行四邊形: {平行四邊形面積=底×高}
M2[㎡]三角形: {三角形面積=底×高÷2}
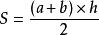
M2[㎡]梯形: {梯形面積=(上底+下底)×高÷2}
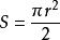
M2[㎡]圓形(正圓): {圓形(正圓)面積=圓周率×半徑×半徑}
M2[㎡]圓環: {圓形(外環)面積={圓周率×(外環半徑的平方-內環半徑的平方)}
M2[㎡]扇形: {圓形(扇形)面積=圓周率×半徑×半徑×扇形角度/360}
M2[㎡]長方體表面積: {長方體表面積=(長×寬+長×高+寬×高)×2}
M2[㎡]正方體表面積: {正方體表面積=棱長×棱長×6}
M2[㎡]球體(正球)表面積: {球體(正球)表面積=圓周率×半徑×半徑×4}
M2[㎡]橢圓 (其中π(圓周率,a,b分別是橢圓的長半軸,短半軸的長).
M2[㎡]半圓: (半圓形的面積公式=圓周率×半徑的平方÷2)
單位換算
單位換算:1 ㎡(1平方米)= 100 dm²(100平方分米)=10000 cm²(10000平方厘米)=1000000 mm²(1000000平方毫米)= 0.0001公頃=0.000001km² (0.000001平方公里)= 0.01公畝=0.0002471054英畝=0.0000003861平方英里=10.763910417平方英尺=0.0015畝
單位換算就是把平方米換算成平方分米、平方厘米、平方毫米後將他們之間的進位和單位一起平方。例如 1 m=10 dm;1 ㎡ = 10 dm × 10 dm =100 dm²。其餘的都可以按照這樣的換算方法換算得出。
單位換算就是面積單位的轉換的計算。
實際套用
1.㎡可用於生活中買平面的各種物品的計量。包括買房,買瓷磚的計量等。
2.㎡可用於數學問題的解答與學習,也廣泛套用於其他科目套用題的單位。
3.㎡可用於對平方米在生活中的縮寫。
計量單位
法定計量單位
| 名稱 | 符號 | 換算關係 |
| 平方千米(平方公里) | km² | 1平方千米(平方公里)=1,000,000平方米 |
| 平方分米 | dm² | 1平方分米=0.01平方米 |
| 平方厘米 | cm² | 1平方厘米=0.000 1平方米 |
| 平方毫米 | mm² | 1平方毫米=0.000 001平方米 |
非法定計量單位
| 名稱 | 符號 | 換算關係 |
| 公頃 | ha | 1公頃=10,000平方米 |
| 公畝 | a | 1公畝=100平方米 |
| 畝 | 1畝約等於666.66666666667平方米 | |
| 市頃 | 1市頃=66,666.6667平方米 | |
| 市畝 | 1市畝=666.6667平方米 | |
| 市分 | 1市分=66.666 7平方米 | |
| 平方市里 | 1平方市里=2,499,999.999 75平方米 | |
| 平方市丈 | 1平方市丈=111.1111平方米 | |
| 平方市尺 | 1平方市尺=0.1111平方米 | |
| 平方英里 | mi² | 1平方英里=2,589,988.110 336平方米 |
| 英畝 | 1英畝=4,046.8564224平方米 | |
| 平方碼 | yd² | 1平方碼=0.8361平方米 |
| 平方英尺 | ft² | 1平方英尺=0.09290304平方米 |
| 平方英寸 | in² | 1平方英寸=0.00064516平方米 |
| 靶恩 | b | 1靶恩=10⁻²⁸平方米 |
| 坪 | 一平方米=0.3025坪 一坪= 3.30378 平方米 |
輸入方式
Word中輸入
只要輸入“2”後,右鍵選擇字型中的上標即可。同時,平方的專門字元也可在輸入工具上右鍵選擇特殊符號中查找到。也可以輸入“2”後選中“2”,使用捷徑ctrl+shift+"+"。
在Word2007中點擊“插入”,在“公式”中點擊“插入新公式”,在“結構”一欄點擊“上下標”,如左圖,選擇“上標”,出現右圖所示,如圖二所示。
在Word中勾選視圖-工具列-符號欄,當需要輸入㎡時,用滑鼠點擊“㎡”即可。
Excel中輸入
先輸入m,然後按住鍵盤上的Alt鍵不放,再從小鍵盤上輸入數字178即可。
或者直接按住Alt鍵,同時用數字小鍵盤輸入43343即可。3. 在CAD中
可以使用mt命令,先輸入"m2^",再選中"2^",點擊堆疊便可;
2004及以下版本的單行文字命令,輸入"m\u+00B2”;
2004以上版本的單行文字命令,必須在宋體下,輸入"m%%178"。
搜狗輸入法
輸入“平方米”即可看到。
QQ五筆輸入
在狀態欄點右鍵,選特殊符號,數學符號即可。
五點取樣法
生物種群密度的調查中,當以某草本植物為調查對象時,常以1平方米作為取樣單位進行取樣調查。見於取樣地為近方形的地塊時。多採用五點取樣法。即取五個一米見方的樣方中的某種草本植物的個體數的平均數作為該地被調查植物的種群密度。
