試驗標準
國家標準:管線鋼和壓力容器鋼抗氫致開裂評定方法 GB/T 8650-2006
美國標準:Evaluation of Pipeline and Pressure Vessel Steels for Resistance to Hydrogen-Induced CrackingNACE TM0284-2011
試驗簡圖
HIC試驗試驗介質:
溶液A:常溫常壓,含飽和硫化氫的氯化鈉醋酸溶液
溶液B:常溫常壓,含飽和硫化氫的人工海水
試驗樣品推薦尺寸:
100mm×20mm×30mm
試驗評價
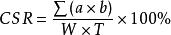
裂紋長度和寬度測量圖裂紋敏感性比值CSR
HIC裂紋長度比值CLR
HIC裂紋厚度比值CTR
HIC式中:
a----裂紋長度,單位為毫米(mm)
b----裂紋厚度,單位為毫米(mm)
W----試樣寬度,單位為毫米(mm)
T----試樣厚度,單位為毫米(mm)

