定義
粘性流體中表征作用力比值的無量綱數
物理意義
理解一
GA[伽利略數]
GA[伽利略數]其中
GA[伽利略數]重力加速度
GA[伽利略數]為流體密度
GA[伽利略數]為流體動力粘滯係數
GA[伽利略數]為特徵尺度。
Ga為表征重力作用和粘滯作用的對比關係
理解二
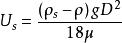
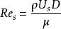
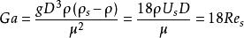
在研究流體中固相顆粒運動的問題時,伽利略數可以理解為
GA[伽利略數]其中
GA[伽利略數]表示流體密度
GA[伽利略數]表示顆粒密度
GA[伽利略數]表示顆粒粒徑
GA[伽利略數]為顆粒在靜水中沉速
GA[伽利略數]表示以顆粒沉速為特徵速度的雷諾數
![GA[伽利略數] GA[伽利略數]](/img/e/1d7/nBnauM3XwEDMwczMyMDM2ATN0UTMyITNykTO0EDMwAjMwUzLzAzL1EzLt92YucmbvRWdo5Cd0FmLyE2LvoDc0RHa.jpg)
