概述
EGR作為機內淨化技術,是減少柴油機NO排放的有效手段之一,但是增加EGR率會導致柴油機碳煙排放上升較快。
計算方法
EGR率的定義方式通常有流量法和二氧化碳法兩種。
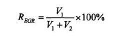
EGR率容積流量法EGR率定義為:
式中:V是進氣行程中EGR廢氣的體積,V是進氣行程中新鮮空氣的體積,這種方法具有方便計算、對測試設備要求不高、容易實現等優點。
EGR率EGR率評價方法有很多,目前國內外使用較多的是通過測量二氧化碳濃度來計算EGR率,由於廢氣引入進氣管,導致進氣管中二氧化碳濃度(體積分數)增大,進氣管中二氧化碳濃度越大,EGR率越大。由於空氣中的CO含量很少,計算時忽略了空氣中CO含量的變化,那么進氣中CO濃度的變化就可以反應進氣中廢氣再循環量的變化。二氧化碳濃度型EGR率定義為:
式中,(CO)為新鮮空氣與EGR廢氣混合後的進氣中CO的體積分數,(CO)為排氣中CO的體積分數。
二氧化碳法可較精確的定義EGR率,但對試驗設備的要求較髙。
實際意義
EGR 對缸內燃燒溫度影響較大,隨著 EGR率的增加,缸內瞬態最高溫度和平均溫度均相應降低,由於高溫環境是NO生成的必要條件,因此EGR率升高有利於降低 NOx的排放。EGR 率高意味著新鮮空氣量減少,缸內燃燒會惡化,從而導致柴油機經濟性下降,碳煙排放增加。隨著EGR 率的增加,著火時刻不斷推遲,著火後火焰擴展速率變慢。CO作為較大比熱值的惰性氣體推遲了著火,並減緩了燃燒速率。隨著 EGR 率的增加,缸內壓力和最大爆發壓力都明顯下降,達到峰值壓力的時間推遲,放熱率峰值下降,放熱率曲線整體推後,使缸內燃燒狀況有所惡化。
