CLU爐精煉方法
1972年法國Creusot-Loire公司和瑞典ud-deholm公司共同在6t試驗爐上研究開發的一種類似氬氧精煉法的爐外精煉技術。以上述公司名的第一個字母命名。該技術的基本原理與AOD法相同,只是用水蒸氣代替昂貴的氬氣以稀釋脫碳反應所產生的CO。(見圖1)O和水蒸氣的混合氣體從爐底風口吹入進行精煉。風口由二層管構成:內管通氧氣和水汽(也可通Na、Ar和空氣);外管為起冷卻作用的水汽、燃料油、NH等。水汽、燃料油、NH等分解產生的H、N等氣體可作為稀釋氣體降低pco,從而可以促進脫碳反應的進行。同時各分解反應均為吸熱反應,可以抑制鋼水溫度的上升,因此對提高耐火材料壽命有利,這樣冶煉過程不需要冷卻廢鋼,車間沒有濃烈的紅煙,環境條件較好。操作過程鋼水溫度和成分的變化見圖2。Cr、Mn的回收率各為97%~100%和85%~90%。還原後鋼水中氫含量達飽和程度,所以要用Ar或Ar+N混合氣體進行清洗。如圖3所示,當清洗氣體量約為4m/t時,可將鋼中[H]降到(4~5)×10的程度。
CLU爐與AOD爐相比,CLU法爐襯壽命較高,可以節省Ar氣,冶煉溫度低於1700℃,易於脫硫,而且水汽容易獲得,降低了成本且可以使用高碳、高矽原料(碳6%、矽2%)。但CLU法鉻的回收率較低,還原劑用量較大,另外雖然採用了清洗措施,鋼中[H]含量仍然較高。
CLU爐爐襯結構
CLU爐是一種直筒型的底吹轉爐。在爐底的半圓上,有三個(或五個)由雙層套管構成的風口,風口垂直向上。下圖表示出了Uddeholm公司Deger—fors廠70噸爐的爐體結構示意圖。法國15噸爐的結構相似,但爐底有五個風口,且其間距較小(為200毫米)。
CLU爐Degeffors廠的70噸爐的操作,是將經電爐初煉的高碳(平均含碳為1.8%)、高矽的(平均含矽0.5%)鋼液,與全部電爐渣一起倒入CLU爐內精煉,使已氧化進入渣中的合金元素得到還原,以達到最大的合金收得率,並通過控制氧、水蒸汽和氮氣的比例,按預定的要求,將鋼水的溫度控制在1660~1680℃的範圍內。最初它採用化學結合的鉻鎂磚作爐襯,其成分為5~20%CrO、58~63%MgO。
爐容比對於轉爐來說,是一個重要的參數。根據Uddeholm公司Degerfors廠70噸CLU爐的爐襯情況來大致估算,爐子總容積與鋼水容積之比大致在3.5~4.0左右,與一般底吹轉爐相近。從爐襯結構圖可以看出,鋼液熔池部分爐襯較厚,保證了它具有一定的深度,從而使氣體的利用率提高。
CLU在爐子結構上有一與其它轉爐顯著不同之處,即可以不設出鋼孔。這是因為經過還原以後,CLU終渣中金屬氧化物的總量已小於I%,因而鋼、渣可以同時從爐口倒入鋼包。但如果CIU爐同時又要冶煉普碳鋼(如法國的15噸爐)廣則應設一個出鋼孔,以便在一般碳鋼吹煉結束時可以擋渣出鋼,保證包中所加合金的回收率,防止因渣中PO被還原而“回磷”。
CLU爐爐齡問題
Uddeholm公司Deger—fors廠70噸爐投產後第一爐役期,爐齡僅19爐次。以後的四個爐役期,爐齡仍很低,僅在第二個爐役期達到過27爐次。
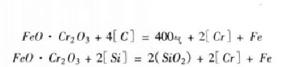
為此,瑞典有關專家專門研究了爐襯快速損壞的原因。他們認為在此工藝過程中,溫度始終在1680℃以下,這樣的溫度不可能造成鉻鎂質耐火材料的熔蝕或軟化,因而耐火材料壽命低顯然是由於化學侵蝕和機械沖刷兩者聯合作用的結果。由於CLU討程較低,並且還原時還加入大量石灰和矽鐵,因而耐火材料中的氧化鉻和氧化鎂會發生下述還原反應:
CLU爐爐襯不但受到上述化學侵蝕,而且還同時受到強烈的機械沖刷作用。特別是風口附近區域,由於氣體稀釋比最大,因而化學侵蝕十分嚴重(高碳時);同時當氣體通過風口時,由於氣體突然產生膨脹和震動,風口周圍的爐襯會受到很強的衝擊力:兩者的共同作用,導致風口周圍爐襯嚴重蝕損。
在渣線部位(鋼、渣界面附近),由於氣體沸騰產生強烈的攪拌作用,因而爐襯受到劇烈的機械沖刷。同時,該部位爐襯中的CrO,還易於與添加後浮在鋼渣界面的矽還原劑發生反應。圖6一1一2示出了CLU爐爐襯蝕損情況.可以看出,蝕損最嚴重的兩個部位是風口附近及渣線上、下。
CLU爐綜上所述,當化學侵蝕和機械損傷同時存在時,對鉻鎂質爐襯材料來說,爐襯壽命不是一個容易解決的問題;尤其是對初始鋼水中碳和矽含量沒有限制時,情況更是特別嚴重。為此瑞典考慮改用白雲石質耐火材料。白雲石耐火材料中的CaOD·MgO的化學穩一定性遠較鉻鎂磚中的FeO·CrO為高,因而抗鋼中碳和矽化學侵蝕的能力較強。但是,由於白雲石磚的其它理化指標不夠理想,因而先進行了初步試驗。在第20和21兩個爐役中,採用350毫米厚的白雲石磚砌築爐壁,其壽命提高到49爐次。在更換爐襯時發現,爐壁和爐底用白雲石磚砌蝕損都比用鉻鎂磚時小得多,可以說還沒有達到必須更換的地步;只有在風口附近的一個小範圍內,由於氣流衝擊力和熱應力較大,因而白雲石磚蝕損嚴重。根據這一情況從第29個爐役開始在爐壁和爐底的絕大部分部位都採用白雲石磚,僅在風口周圍採用鉻鎂磚。自此以後,爐襯壽命顯著上升,穩定地保持在85爐次以上,其間也不需要更換爐底和風口。
CLU法從1973年投產扁經過三年的生產實踐,爐齡從20爐次左右逐步提高到85爐次以上。爐齡的提高,大大降低了耐火材料的消耗,使耐火材料費用降低了80%,而且對提高生產效率和改善作業安排都起到了重要的作用。

