基本信息
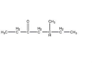
中文名稱:5-甲基-3-庚酮
英文名稱:5-Methyl-3-heptanone
別名名稱:乙基另戊基甲酮
更多別名:2-Methylbutylethylketone Ethyl isoamyl ketone
分 子 式:C8H16O
分 子 量:128.21
理論數據
毒理學數據
1、皮膚/眼睛刺激數據:標準Draize測試兔子直接接觸皮膚:500mgREACTION SEVERITY:輕度;
2、急性毒性:大鼠經口LD50:3500mg/kg,除致死劑量外無詳細說明;
大鼠經吸入LCLo:3484 ppm/8H,除致死劑量外無詳細說明;
小鼠經口LD50:3800mg/kg,除致死劑量外無詳細說明;
小鼠經吸入LCLo:3484 ppm/4H,除致死劑量外無詳細說明;
兔子經皮膚LD50:>16gm/kg,除致死劑量外無詳細說明;
豚鼠經口LD50:2500mg/kg,除致死劑量外無詳細說明;
生態學數據
該物質對環境可能有危害,對水體應給予特別注意。
分子結構數據
1、 摩爾折射率:39.10
2、 摩爾體積(cm3/mol):158.0
3、 等張比容(90.2K):352.8
4、 表面張力(dyne/cm):24.8
5、 極化率(10-24cm3):15.50
計算化學數據
1.疏水參數計算參考值(XlogP):2.2
2.氫鍵供體數量:0
3.氫鍵受體數量:1
4.可旋轉化學鍵數量:4
5.互變異構體數量:3
6.拓撲分子極性表面積17.1
7.重原子數量:9
8.表面電荷:0
9.複雜度:86.6
10.同位素原子數量:0
11.確定原子立構中心數量:0
12.不確定原子立構中心數量:1
13.確定化學鍵立構中心數量:0
14.不確定化學鍵立構中心數量:0
15.共價鍵單元數量:1
性質與穩定性
易燃。避免蒸氣吸入。遇明火、高熱及強氧化劑易引起燃燒。
貯存方法
儲存於陰涼、乾燥、通風良好的庫房。遠離火種、熱源。防止陽光直射。包裝密封。應與酸類、食用化學品分開存放,切忌混儲。儲區應備有合適的材料收容泄漏物。
合成方法
由5-甲基庚醇脫氫而得。
用途
用作硝基纖維素和乙烯樹脂的溶劑。
應急措施
急救措施
【皮膚接觸】脫去污染的衣著,用大量流動清水沖洗。
【眼睛接觸】提起眼瞼,用流動清水或生理鹽水沖洗。就醫。
【吸入】迅速脫離現場至空氣新鮮處。保持呼吸道通暢。如呼吸困難,給輸氧。如呼吸停止,立即進行人工呼吸。就醫。
【食入】飲足量溫水,催吐。就醫。
消防措施
【危險特性】遇明火、高熱或與氧化劑接觸,有引起燃燒爆炸的危險。其蒸氣比空氣重,能在較低處擴散到相當遠的地方,遇火源會著火回燃。若遇高熱,容器內壓增大,有開裂和爆炸的危險。
【有害燃燒產物】一氧化碳、二氧化碳。
【滅火方法】消防人員須佩戴防毒面具、穿全身消防服,在上風向滅火。儘可能將容器從火場移至空曠處。噴水保持火場容器冷卻,直至滅火結束。處在火場中的容器若已變色或從安全泄壓裝置中產生聲音,必須馬上撤離。滅火劑:霧狀水、泡沫、乾粉、二氧化碳、砂土。
泄漏應急處理
迅速撤離泄漏污染區人員至安全區,並進行隔離,嚴格限制出入。切斷火源。建議應急處理人員戴自給正壓式呼吸器,穿防毒服。儘可能切斷泄漏源。防止流入下水道、排洪溝等限制性空間。小量泄漏:用砂土、乾燥石灰或蘇打灰混合。也可以用不燃性分散劑製成的乳液刷洗,洗液稀釋後放入廢水系統。大量泄漏:構築圍堤或挖坑收容。用泵轉移至槽車或專用收集器內,回收或運至廢物處理場所處置。
接觸控制/個體防護
【TLVTN】ACGIH 131mg/m3
【工程控制】密閉操作,注意通風。
【呼吸系統防護】空氣中濃度超標時,必須佩戴自吸過濾式防毒面具(半面罩)。緊急事態搶救或撤離時,應該佩戴空氣呼吸器。
【眼睛防護】戴化學安全防護眼鏡。
【身體防護】穿防毒物滲透工作服。
【手防護】戴橡膠耐油手套。
【其他防護】工作現場嚴禁吸菸。避免長期反覆接觸。
操作處置與儲存
操作注意事項
密閉操作,注意通風。操作人員必須經過專門培訓,嚴格遵守操作規程。建議操作人員佩戴自吸過濾式防毒面具(半面罩),戴化學安全防護眼鏡,穿防毒物滲透工作服,戴橡膠耐油手套。遠離火種、熱源,工作場所嚴禁吸菸。使用防爆型的通風系統和設備。防止蒸氣泄漏到工作場所空氣中。避免與氧化劑、鹼類、酸類接觸。搬運時要輕裝輕卸,防止包裝及容器損壞。配備相應品種和數量的消防器材及泄漏應急處理設備。倒空的容器可能殘留有害物。
儲存注意事項
儲存於陰涼、通風的庫房。遠離火種、熱源。應與氧化劑、鹼類、酸類分開存放,切忌混儲。採用防爆型照明、通風設施。禁止使用易產生火花的機械設備和工具。儲區應備有泄漏應急處理設備和合適的收容材料。

