基本介紹
圖1
黃金長方體
黃金長方體黃金長方體是一種特殊的長方體,指長、寬、高之比為 ,黃金長方體圖的長方體,這裡為黃金比 ,顯然
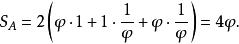
黃金長方體寬為單位長的黃金長方體的表面積為
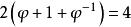
黃金長方體而它的外接球表面積為S=4π,故S∶S=φ∶π。
相關性質
黃金長方形與黃金長方體
圖2圖2中,畫著一個奇妙的長方體,它的長、寬、高分別是
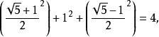
黃金長方體由於
黃金長方體所以這個長方體的對角線d的長度等於2。
在以上四個數據中,1和2是最小的兩個自然數,至於0.618和1.618,它們一個是黃金比,另一個是黃金比的倒數(有些資料里把0.618叫做黃金比,另外一些資料把1.618叫做黃金比)。
兩鄰邊之比為黃金比的長方形叫做黃金長方形。
類似地,圖2中的長方體叫做黃金長方體。
黃金長方體的六個面中,有四個面是黃金長方形。它們是圖2中的前、後、上、下四個面,其中兩個長方形的長和寬分別是1和0.618,另兩個的是1和1.618。
其餘兩個面(左面和右面),長方形的長和寬分別是0.618和1.618,這樣的長方形,面積等於1,並且,在形內割去一個以短邊為一邊的正方形以後,剩餘部分是一個黃金長方形。
黃金長方體的其他性質
黃金長方體有以下性質:
1)其棱長和其側面的面積,均成幾何級數:
黃金長方體2)黃金長方體6個面中有4個面是黃金矩形。
黃金長方體3)當黃金長方體的體積為單位立方時,黃金長方體的總面積為 。

