定義
飽和歷程也稱飽和順序,指流體在滲流過程採用的是驅替方式還是吸吮方式。
驅替方式
活塞式驅替
多孔介質中一種流體驅替另一種流體時一種假定的理想驅替方式。驅替過程中兩種流體之間存在明顯的分界面,該分界面象活塞一樣向前移動。
圖1 活塞式水驅油非活塞式驅替
多孔介質中,一種流體驅替另一種流體時,出現兩種流體混合流動的兩相滲流區的驅替方式。實際儲集層中由於岩層的微觀非均質性、流體性質的差異、以及岩石相對滲透率和毛細管現象的影響而產生。
圖2 非活塞式水驅油周期注水
指間歇改變注入水量或注一段時間水後停注一段時間,以對油層施加脈衝作用的驅替方式。在減少注入量和停注期間,油藏中壓力重新分配,注入井與生產井附近的高滲透層段和裂縫中的壓力降低,低滲透層中的油被擠入高滲透層,並在一個注入周期中被驅替到生產井中,因而該方法可使低滲透層帶的油井受效。
周期注氣
間歇改變注入氣量或注一段時間氣後停注一段時間的驅替方式。其原理同“周期注水”。
蒸汽驅油
蒸汽從注入井注入,油從生產井采出的一種驅替方式。其驅油特點是,在注入井周圍形成一個飽和蒸汽帶,離井較遠的地方由於蒸汽與岩層及其中流體的換熱而冷卻,在其前緣形成一凝析熱水帶。飽和蒸汽帶的溫度與注入蒸汽的溫度幾乎一樣,隨著蒸汽向前推進溫度緩慢下降,到凝析熱水帶處,其溫度與油層溫度相近。由於蒸汽侵入地帶的高溫引起部分油的蒸餾,所以有部分油是由於氣驅作用采出的。如果油層注蒸汽前已注冷水,則在熱水帶前緣還將有一個冷水帶。這樣,在注入井到生產井之間將經歷一連串驅油過程,最先是冷水驅,接著是熱水驅,最後是蒸汽(水蒸氣和油蒸氣)驅,在蒸汽驅和熱水驅之間實際上還有局部混相驅,不會出現水-汽的明顯界面。
吸吮方式
低滲透油田之所以能夠開發,與低滲透油藏中存在的裂縫系統有關,不存在裂縫系統的低滲透油藏一般不能經濟有效地開發。低滲透裂縫性砂岩油藏水驅油的機理,主要是滲吸促使裂縫中的水吸入基質而進行採油。因此,對於低滲透油藏來說,研究滲吸機理顯得尤為重要。
影響滲吸的因素有很多,如:岩樣大小、岩石特性(孔隙度,滲透率)、流體特性(密度,粘度和界面張力)、潤濕性、初始飽和度以及邊界條件等。
滲流
流體在多孔或裂隙介質中的流動。對水利水電工程,主要研究水在壩體、壩基和兩岸的流動。滲流可造成水量損失;在土壩內形成浸潤區;對混凝土閘、壩形成揚壓力;還可能造成壩體和壩基的滲透破壞,引起兩岸和下游地區的浸沒,影響工程安全和正常運行。主要研究內容有:工程地區的水文地質條件、滲透性、滲流場分析、滲透變形、滲流控制和滲流監測。
滲透性
水在不同土的孔隙中流動時受到不同阻力,或者說土的透水能力不同,這就是土的滲透特性。1855年H.P.G.達西(H.P.G.Darcy)首先進行了均勻砂的滲透試驗,發現滲透速度v和水力比降i之間的線性關係v=ki,稱為達西定律,i為水頭h與滲徑長度L的比值,比例常數k即滲透係數。達西定律適用於滲流的層流狀態。試驗和研究表明,除碎石、卵石等粗粒材料外,絕大多數土料在工程實用範圍內可認為滿足達西定律。滲透係數k的值可通過現場和室內試驗測定。裂隙岩體的滲透性較複雜,根據裂隙分布規律和野外試驗結果,在滲流場分析時可從巨觀上視為各向同性或各向異性介質。
滲流場分析
其目的在於決定滲流場的水力要素,即水頭h,水力比降i,滲透速度v和滲流量Q。對土體和水體均為不可壓縮的情況,滿足達西定律的穩定滲流分析可歸結為求解擬調和方程(各向異性):
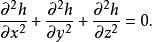
飽和歷程或求解拉普拉斯方程(各向同性):
飽和歷程少數情況可用數學分析方法獲得以上方程的精確解。當前普遍採用數值分析方法(如有限單元法、有限差分法和邊界元法等)和電模擬試驗方法求解。隨時間改變的不穩定滲流,最常見的是水庫水位下降時壩體的滲流自由表面下降情況,可分時段按穩定滲流和變自由表面邊界求解,有時也可採用黏滯模型試驗。
對於各向同性的兩向滲流,獲得水頭函式h後,可以勾畫等勢線與流線正交的流網圖(見圖)。並由水頭函式h進一步決定各點的孔隙水壓力、水力比降、滲透力,計算滲流量和閘壩底部的場壓力。
土壩滲流流網圖