前言
本標準代替GB/T 5009. 41--1996《食醋衛生標準的分析方法》。
本標準與GB/T 5009.41-1996相比主要修改如下:
按照GB/T 20001. 4--2001《標準編寫規則第4部分:化學分析方法》對原標準的結構進行了修改。
本標準由中華人民共和國衛生部提出並歸口。
本標準由北京市衛生防疫站負責起草。
本標準於1985年首次發布,於1996年第一次修訂,本次為第二次修訂。
範圍
本標準規定了食醋各項衛生指標的分析方法。
本標準適用於食醋各項衛生指標的分析。
規範性檔案
下列檔案中的條款通過本標準的引用而成為本標準的條款。凡是注日期的引用檔案,其隨後所有的修改單(不包括勘誤的內容)或修訂版均不適用於本標準,然而,鼓勵根據本標準達成協定的各方研究是否可使用這些檔案的最新版本。凡是不注日期的引用檔案,其最新版木適用於本標準。
GB/T 5009.11食品中總砷及無機砷的測定
GB/T 5009. 12食品中鉛的測定
GB/T 5009. 22 食品中黃麴黴毒素B1的測定
GB/T 5009. 39 -2003醬油衛生標準的分析方法
感官檢查
取2 mL試樣置於25 mL具塞比色管中,加水至刻度,振搖,觀察色澤、澄明度,不應渾注,無沉注。
取30 mI.試樣置於50 mL燒杯中觀察,應無懸浮物,無霉花浮膜,無“醋鰻”、“酷虱”。
用玻璃棒攪拌燒杯中試樣,嘗味應不澀,無其他不良氣味與異味。
理化檢驗
總酸
原理
食醋中主要成分是乙酸,含有少量其他有機酸,用氫氧化鈉標準溶液滴定,以酸度計測定pH8.2終點,結果以乙酸表示。
試劑
氫氧化鈉標準滴定溶液。
儀器
同GB/T 5009.39-2003中4.2.1.3。
分析步驟
吸取10mL試樣置於100 mL容量瓶中,加水至刻度,混勻。吸取20.0 mL置於200mL燒杯中,加60 mL水,以下按GB/T 5009.39-2003中4. 2. 1. 4自“開動磁力攪拌器……”起依法操作。同時做試劑空白試驗。
結果計算
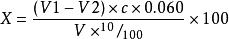
試樣中總酸的含量(以乙酸計)按式(1)進行計算。
食醋衛生標準的分析方法..............(1)
式中:
X—試樣中總酸的含量(以乙酸計),單位為克每百毫升(g/100 mL) ;
V1—測定用試樣稀釋液消耗氫氧化鈉標準滴定液的體積,單位為毫升(mL) ;
V2—試劑空白消耗氫氧化鈉標準滴定溶液的體積,單位為毫升(mL) ;
c—氫氧化鈉標準滴定溶液的濃度,單位為摩爾每升(mol/L) ;
0. 060—與1.00mL氫氧化鈉標準溶液〔c(NaOH)=1.000mol/L〕相當的乙酸的質量,單位為克(g);
V—試樣體積,單位為毫升(mL) 。.
計算結果保留三位有效數字。
精密度
在重複性條件下獲得的兩次獨立測定結果的絕對差值不得超過算術平均值的10%。
游離礦酸
原理
游離礦酸(硫酸、硝酸、鹽酸等)存在時,氫離子濃度增大,可改變指示劑顏色。
試劑
百里草酚藍試紙:取0. 10 g百里草酚藍,溶於50mL乙醇中,再加6mL氫氧化鈉溶液(4 g/L),加水至100mL,將濾紙浸透此液後晾乾、貯存備用。
甲基紫試紙:稱取0.10 g甲基紫,溶於100 mL水中,將濾紙浸於此液中,取出晾乾、貯存備用。
分析步驟
用毛細管或玻璃棒沾少許試樣,點在百里草酚藍試紙上,觀察其變化情況。若試紙變為紫色斑點或紫色環(中心淡紫色),表示有游離礦酸存在,最低檢出量為5μg。不同濃度的乙酸、冰乙酸在百里草酚藍試紙上呈現桔黃色環、中心淡黃色或無色。
用甲基紫試紙沾少許試樣,若試紙變為藍色、綠色,表示有游離礦酸存在。
鉛
按GB/T 5009. 12操作。
砷
按GB/T 5009. 11操作。
黃麴黴毒素B1
按GB/T 5009. 22操作。

