前 言
本標準代替GB/T5009.97—2003《食品中環己基氨基磺酸鈉的測定》 。
本標準與GB/T5009.97—2003相比,主要變化如下:
———標準名稱修改為“食品安全國家標準 食品中環己基氨基磺酸鈉的測定”;
———氣相色譜法改為使用毛細管柱進行分析;
———最佳化了樣品處理、衍生化和測定的條件;
———增加液相色譜法;
———增加液相色譜-質譜/質譜法;
———刪除GB/T5009.97—2003《食品中環己基氨基磺酸鈉的測定》中的第二法比色法和第三法薄層色譜法。
範圍
本標準規定了食品中環己基氨基磺酸鈉(甜蜜素)的三種測定方法———氣相色譜法、液相色譜法和液相色譜-質譜/質譜法。
本標準氣相色譜法適用於飲料類、蜜餞涼果、果丹類、話化類、帶殼及脫殼熟制堅果與籽類、水果罐頭、果醬、糕點、麵包、餅乾、冷凍飲品、果凍、複合調味料、醃漬的蔬菜、腐乳食品中環己基氨基磺酸鈉的測定。
本 標準氣相色譜法不適用於白酒中該化合物的測定。
本標準液相色譜法適用於飲料類、蜜餞涼果、果丹類、話化類、帶殼及脫殼熟制堅果與籽類、配製酒、水果罐頭、果醬、糕點、麵包、餅乾、冷凍飲品、果凍、複合調味料、醃漬的蔬菜、腐乳食品中環己基氨基磺酸鈉的測定。
本標準液相色譜-質譜/質譜法適用於白酒、葡萄酒、黃酒、料酒中環己基氨基磺酸鈉的測定。
氣相色譜法
原理
食品中的環己基氨基磺酸鈉用水提取,在硫酸介質中環己基氨基磺酸鈉與亞硝酸反應,生成環己醇亞硝酸酯,利用氣相色譜氫火焰離子化檢測器進行分離及分析,保留時間定性,外標法定量。
試劑和材料
除非另有說明,本方法所用試劑均為分析純,水為GB/T6682規定的二級水。
試劑
正庚烷[CH3(CH2)5CH3]。
氯化鈉(NaCl)。
石油醚:沸程為30℃~60℃。
氫氧化鈉(NaOH)。
硫酸(H2SO4)。
亞鐵氰化鉀{K4[Fe(CN)6]·3H2O}。
硫酸鋅(ZnSO4·7H2O)。
亞硝酸鈉(NaNO2)。
1.正庚烷[CH3(CH2)5CH3]。
2.氯化鈉(NaCl)。
3.石油醚:沸程為30℃~60℃。
4.氫氧化鈉(NaOH)。
5.硫酸(H2SO4)。
6.亞鐵氰化鉀{K4[Fe(CN)6]·3H2O}。
7.硫酸鋅(ZnSO4·7H2O)。
8.亞硝酸鈉(NaNO2)。
試劑配製
氫氧化鈉溶液(40g/L):稱取20g氫氧化鈉,溶於水並稀釋至500mL,混勻。
硫酸溶液(200g/L):量取54mL硫酸小心緩緩加入400mL水中,後加水至500mL,混勻。
亞鐵氰化鉀溶液(150g/L):稱取折合15g亞鐵氰化鉀(3.1.6),溶於水稀釋至100mL,混勻。
硫酸鋅溶液(300g/L):稱取折合30g硫酸鋅的試劑(3.1.7),溶於水並稀釋至100mL,混勻。
亞硝酸鈉溶液(50g/L):稱取25g亞硝酸鈉,溶於水並稀釋至500mL,混勻。
1.氫氧化鈉溶液(40g/L):稱取20g氫氧化鈉,溶於水並稀釋至500mL,混勻。
2.硫酸溶液(200g/L):量取54mL硫酸小心緩緩加入400mL水中,後加水至500mL,混勻。
3.亞鐵氰化鉀溶液(150g/L):稱取折合15g亞鐵氰化鉀(3.1.6),溶於水稀釋至100mL,混勻。
4.硫酸鋅溶液(300g/L):稱取折合30g硫酸鋅的試劑(3.1.7),溶於水並稀釋至100mL,混勻。
5.亞硝酸鈉溶液(50g/L):稱取25g亞硝酸鈉,溶於水並稀釋至500mL,混勻。
標準品
環己基氨基磺酸鈉標準品(C6H12NSO3Na):純度≥99%。
標準溶液的配製
環己基氨基磺酸標準儲備液(5.00mg/mL):精確稱取0.5612g環己基氨基磺酸鈉標準品,用水溶解並定容至100mL,混勻,此溶液1.00mL相當於環己基氨基磺酸5.00mg(環己基氨基磺酸鈉與環己基氨基磺酸的換算係數為0.8909)。置於1℃~4℃冰櫃保存,可保存12個月。
環己基氨基磺酸標準使用液(1.00mg/mL):準確移取20.0mL環己基氨基磺酸標準儲備液用水稀釋並定容至100mL,混勻。置於1℃~4℃冰櫃保存,可保存6個月。
儀器與設備
氣相色譜儀:配有氫火焰離子化檢測器(FID)。
渦旋混合器。
離心機:轉速≥4000r/min。
超音波振盪器。
樣品粉碎機。
10μL微量注射器。
恆溫水浴鍋。
天平:感量1mg、0.1mg。
1.氣相色譜儀:配有氫火焰離子化檢測器(FID)。
2.渦旋混合器。
3.離心機:轉速≥4000r/min。
4.超音波振盪器。
5.樣品粉碎機。
6.10μL微量注射器。
7.恆溫水浴鍋。
8.天平:感量1mg、0.1mg。
分析步驟
試樣溶液的製備
液體試樣處理
普通液體試樣搖勻後稱取25.0g試樣(如需要可過濾),用水定容至50mL備用。
含二氧化碳的試樣:稱取25.0g試樣於燒杯中,60℃水浴加熱30min以除二氧化碳,放冷,用水定容至50mL備用。
含酒精的試樣:稱取25.0g試樣於燒杯中,用氫氧化鈉溶液(3.2.1)調至弱鹼性pH7~8,60℃水浴加熱30min以除酒精,放冷,用水定容至50mL備用。
1.普通液體試樣搖勻後稱取25.0g試樣(如需要可過濾),用水定容至50mL備用。
2.含二氧化碳的試樣:稱取25.0g試樣於燒杯中,60℃水浴加熱30min以除二氧化碳,放冷,用水定容至50mL備用。
3.含酒精的試樣:稱取25.0g試樣於燒杯中,用氫氧化鈉溶液(3.2.1)調至弱鹼性pH7~8,60℃水浴加熱30min以除酒精,放冷,用水定容至50mL備用。
固體、半固體試樣處理
低脂、低蛋白樣品(果醬、果凍、水果罐頭、果丹類、蜜餞涼果、濃縮果汁、麵包、糕點、餅乾、複合調味料、帶殼熟制堅果和籽類、醃漬的蔬菜等):稱取打碎、混勻的樣品3.00g~5.00g於50mL離心管中,加30mL水,振搖,超聲提取20min,混勻,離心(3000r/min)10min,過濾,用水分次洗滌殘渣,收集濾液並定容至50mL,混勻備用。
高蛋白樣品(酸乳、雪糕、冰淇淋等奶製品及豆製品、腐乳等):冰棒、雪糕、冰淇淋等分別放置於250mL燒杯中,待融化後攪勻稱取;稱取樣品3.00g~5.00g於50mL離心管中,加30mL水,超聲提取20min,加2mL亞鐵氰化鉀溶液,混勻,再加入2mL硫酸鋅溶液,混勻,離心(3000r/min)10min,過濾,用水分次洗滌殘渣,收集濾液並定容至50mL,混勻備用。
高脂樣品(奶油製品、海魚罐頭、熟肉製品等):稱取打碎、混勻的樣品3.00g~5.00g於50mL離心管中,加入25mL石油醚,振搖,超聲提取3min,再混勻,離心(1000r/min以上)10min,棄石油醚,再用25mL石油醚提取一次,棄石油醚,60℃水浴揮發去除石油醚,殘渣加30mL水,混勻,超聲提取20min,加2mL亞鐵氰化鉀溶液,混勻,再加入2mL硫酸鋅溶液,混勻,離心(3000r/min)10min,過濾,用水洗滌殘渣,收集濾液並定容至50mL,混勻備用。
1.低脂、低蛋白樣品(果醬、果凍、水果罐頭、果丹類、蜜餞涼果、濃縮果汁、麵包、糕點、餅乾、複合調味料、帶殼熟制堅果和籽類、醃漬的蔬菜等):稱取打碎、混勻的樣品3.00g~5.00g於50mL離心管中,加30mL水,振搖,超聲提取20min,混勻,離心(3000r/min)10min,過濾,用水分次洗滌殘渣,收集濾液並定容至50mL,混勻備用。
2.高蛋白樣品(酸乳、雪糕、冰淇淋等奶製品及豆製品、腐乳等):冰棒、雪糕、冰淇淋等分別放置於250mL燒杯中,待融化後攪勻稱取;稱取樣品3.00g~5.00g於50mL離心管中,加30mL水,超聲提取20min,加2mL亞鐵氰化鉀溶液,混勻,再加入2mL硫酸鋅溶液,混勻,離心(3000r/min)10min,過濾,用水分次洗滌殘渣,收集濾液並定容至50mL,混勻備用。
3.高脂樣品(奶油製品、海魚罐頭、熟肉製品等):稱取打碎、混勻的樣品3.00g~5.00g於50mL離心管中,加入25mL石油醚,振搖,超聲提取3min,再混勻,離心(1000r/min以上)10min,棄石油醚,再用25mL石油醚提取一次,棄石油醚,60℃水浴揮發去除石油醚,殘渣加30mL水,混勻,超聲提取20min,加2mL亞鐵氰化鉀溶液,混勻,再加入2mL硫酸鋅溶液,混勻,離心(3000r/min)10min,過濾,用水洗滌殘渣,收集濾液並定容至50mL,混勻備用。
衍生化
準確移取液體試樣溶液、固體、半固體試樣溶液10.0mL於50mL帶蓋離心管中。離心管置試管架上冰浴中5min後,準確加入5.00mL正庚烷,加入2.5mL 亞硝酸鈉溶液,2.5mL硫酸溶液,蓋緊離心管蓋,搖勻,在冰浴中放置30min,其間振搖3次~5次;加入2.5g氯化鈉,蓋上蓋後置旋渦混合器上振動1min(或振搖60次~80次),低溫離心(3000r/min)10min分層或低溫靜置20min至澄清分層後取上清液放置1℃~4℃冰櫃冷藏保存以備進樣用。
標準溶液系列的製備及衍生化
準確移取1.00mg/mL環己基氨基磺酸標準溶液0.50mL、1.00mL、2.50mL、5.00mL、10.0mL、25.0mL於50mL容量瓶中,加水定容。配成標準溶液系列濃度為:0.01mg/mL、0.02mg/mL、0.05mg/mL、0.10mg/mL、0.20mg/mL、0.50mg/mL。臨用時配製以備衍生化用。
準確移取標準系列溶液10.0mL衍生化。
測定
色譜條件
色譜柱:弱極性石英毛細管柱(內塗5%苯基甲基聚矽氧烷,30m×0.53mm×1.0μm)或等效柱。
柱溫升溫程式:初溫55℃保持3min,10℃/min升溫至90℃保持0.5min,20℃/min升溫至200℃保持3min。
進樣口:溫度230℃;進樣量1μL,不分流/分流進樣,分流比1∶5(分流比及方式可根據色譜儀器條件調整)。
檢測器:氫火焰離子化檢測器(FID),溫度260℃。
載氣:高純氮氣,流量12.0mL/min,尾吹20mL/min。
氫氣:30mL/min;空氣330mL/min(載氣、氫氣、空氣流量大小可根據儀器條件進行調整)。
1.色譜柱:弱極性石英毛細管柱(內塗5%苯基甲基聚矽氧烷,30m×0.53mm×1.0μm)或等效柱。
2.柱溫升溫程式:初溫55℃保持3min,10℃/min升溫至90℃保持0.5min,20℃/min升溫至200℃保持3min。
3.進樣口:溫度230℃;進樣量1μL,不分流/分流進樣,分流比1∶5(分流比及方式可根據色譜儀器條件調整)。
4.檢測器:氫火焰離子化檢測器(FID),溫度260℃。
5.載氣:高純氮氣,流量12.0mL/min,尾吹20mL/min。
6.氫氣:30mL/min;空氣330mL/min(載氣、氫氣、空氣流量大小可根據儀器條件進行調整)。
色譜分析
分別吸取1μL經衍生化處理的標準系列各濃度溶液上清液,注入氣相色譜儀中,可測得不同濃度被測物的回響值峰面積,以濃度為橫坐標,以環己醇亞硝酸酯和環己醇兩峰面積之和為縱坐標,繪製標準曲線。
在完全相同的條件下進樣1μL經衍生化處理的試樣待測液上清液,保留時間定性,測得峰面積,根據標準曲線得到樣液中的組分濃度;試樣上清液回響值若超出線性範圍,套用正庚烷稀釋後再進樣分析。平行測定次數不少於兩次。
分析結果的表述
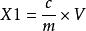
試樣中環己基氨基磺酸含量按式(1)計算:
食品中環己基氨基磺酸鈉的測定…………………………(1)
式中:
X1———試樣中環己基氨基磺酸的含量,單位為克每千克(g/kg);
c ———由標準曲線計算出定容樣液中環己基氨基磺酸的濃度,單位為毫克每毫升(mg/mL);
m ———試樣質量,單位為克(g);
V ———試樣的最後定容體積,單位為毫升(mL)。
計算結果以重複性條件下獲得的兩次獨立測定結果的算術平均值表示,結果保留三位有效數字。
精密度
在重複性條件下獲得的兩次獨立測定結果的絕對差值不得超過算術平均值的10%。
其他
取樣量5g時,本方法檢出限為0.010g/kg,定量限0.030g/kg。
高效液相色譜法
原理
食品中的環己基氨基磺酸鈉用水提取後,在強酸性溶液中與次氯酸鈉反應,生成N ,N-二氯環己胺,用正庚烷萃取後,利用高效液相色譜法檢測,保留時間定性,外標法定量。
試劑和材料
除非另有說明,本方法所用試劑均為分析純,水為GB/T6682規定的一級水。
試劑
正庚烷[CH3(CH2)5CH3]:色譜純。
乙腈(CH3CN):色譜純。
硫酸(H2SO4)。
次氯酸鈉(NaClO)。
碳酸氫鈉(NaHCO3)。
硫酸鋅(ZnSO4·7H2O)。
亞鐵氰化鉀{K4[Fe(CN)6]·3H2O}。
石油醚:沸程為30℃~60℃。
1.正庚烷[CH3(CH2)5CH3]:色譜純。
2.乙腈(CH3CN):色譜純。
3.硫酸(H2SO4)。
4.次氯酸鈉(NaClO)。
5.碳酸氫鈉(NaHCO3)。
6.硫酸鋅(ZnSO4·7H2O)。
7.亞鐵氰化鉀{K4[Fe(CN)6]·3H2O}。
8.石油醚:沸程為30℃~60℃。
試劑配製
硫酸溶液(1+1):50mL硫酸小心緩緩加入50mL水中,混勻。
次氯酸鈉溶液:用次氯酸鈉(10.1.4)稀釋,保存於棕色瓶中,保持有效氯含量50g/L以上,混勻,市售產品需及時標定,臨用時配製。
碳酸氫鈉溶液(50g/L):稱取5g碳酸氫鈉,用水溶解並稀釋至100mL,混勻。
硫酸鋅溶液(300g/L):稱取折合30g硫酸鋅(10.1.6),溶於水並稀釋至100mL,混勻。
亞鐵氰化鉀溶液(150g/L):稱取折合15g亞鐵氰化鉀(10.1.7),溶於水並稀釋至100mL,混勻。
1.硫酸溶液(1+1):50mL硫酸小心緩緩加入50mL水中,混勻。
2.次氯酸鈉溶液:用次氯酸鈉(10.1.4)稀釋,保存於棕色瓶中,保持有效氯含量50g/L以上,混勻,市售產品需及時標定,臨用時配製。
3.碳酸氫鈉溶液(50g/L):稱取5g碳酸氫鈉,用水溶解並稀釋至100mL,混勻。
4.硫酸鋅溶液(300g/L):稱取折合30g硫酸鋅(10.1.6),溶於水並稀釋至100mL,混勻。
5.亞鐵氰化鉀溶液(150g/L):稱取折合15g亞鐵氰化鉀(10.1.7),溶於水並稀釋至100mL,混勻。
標準品
環己基氨基磺酸鈉標準品(C6H12NSO3Na):純度≥99%。
標準溶液配製
環己基氨基磺酸標準儲備液(5.00mg/mL):按第一法3.4.1 配製。
環己基氨基磺酸標準中間液(1.00mg/mL):按第一法3.4.2 配製。
環己基氨基磺酸標準曲線系列工作液:分別吸取標準中間液(10.4.2)0.50mL、1.0mL、2.5mL、5.0mL、10.0mL至50mL容量瓶中,用水定容。該標準系列濃度分別為10.0μg/mL、20.0μg/mL、50.0μg/mL、100μg/mL、200μg/mL。臨用現配。
1.環己基氨基磺酸標準儲備液(5.00mg/mL):按第一法3.4.1 配製。
2.環己基氨基磺酸標準中間液(1.00mg/mL):按第一法3.4.2 配製。
3.環己基氨基磺酸標準曲線系列工作液:分別吸取標準中間液(10.4.2)0.50mL、1.0mL、2.5mL、5.0mL、10.0mL至50mL容量瓶中,用水定容。該標準系列濃度分別為10.0μg/mL、20.0μg/mL、50.0μg/mL、100μg/mL、200μg/mL。臨用現配。
儀器和設備
液相色譜儀,配有紫外檢測器或二極體陣列檢測器。
超音波振盪器。
離心機:轉速≥4000r/min。
樣品粉碎機。
恆溫水浴鍋。
天平:感量1mg、0.1mg。
1.液相色譜儀,配有紫外檢測器或二極體陣列檢測器。
2.超音波振盪器。
3.離心機:轉速≥4000r/min。
4.樣品粉碎機。
5.恆溫水浴鍋。
6.天平:感量1mg、0.1mg。
分析步驟
試樣溶液的製備
固體類和半固體類試樣處理
稱取均質後試樣5.00g於50mL離心管中,加入30mL水,混勻,超聲提取20min,離心(3000r/min)20min,將上清液轉出,用水洗滌殘渣並定容至50mL 備用。含高蛋白類樣品可在超聲提取時加入2.0mL 硫酸鋅溶液(10.2.4)和2.0mL亞鐵氰化鉀溶液。含高脂質類樣品可在提取前先加入25mL石油醚振搖後棄去石油醚層除脂。
液體類試樣處理
普通液體試樣搖勻後可直接稱取樣品25.0g,用水定容至50mL備用(如需要可過濾)。
含二氧化碳的試樣:稱取25.0g試樣於燒杯中,60 ℃水浴加熱30min以除二氧化碳,放冷,用水定容至50mL備用。
含酒精的試樣:稱取25.0g試樣於燒杯中,用氫氧化鈉溶液調至弱鹼性pH7~8,60 ℃水浴加熱30min以除酒精,放冷,用水定容至50mL備用。
含乳類飲料稱取試樣25.0g於50mL離心管中,加入3.0mL硫酸鋅溶液)和3.0mL亞鐵氰化鉀溶液,混勻,離心分層後,將上清液轉出,用水洗滌殘渣並定容至50mL備用。
1.普通液體試樣搖勻後可直接稱取樣品25.0g,用水定容至50mL備用(如需要可過濾)。
2.含二氧化碳的試樣:稱取25.0g試樣於燒杯中,60 ℃水浴加熱30min以除二氧化碳,放冷,用水定容至50mL備用。
3.含酒精的試樣:稱取25.0g試樣於燒杯中,用氫氧化鈉溶液調至弱鹼性pH7~8,60 ℃水浴加熱30min以除酒精,放冷,用水定容至50mL備用。
4.含乳類飲料稱取試樣25.0g於50mL離心管中,加入3.0mL硫酸鋅溶液)和3.0mL亞鐵氰化鉀溶液,混勻,離心分層後,將上清液轉出,用水洗滌殘渣並定容至50mL備用。
衍生化
準確移取10mL已製備好的試樣溶液,加入2.0mL硫酸溶液,5.0mL正庚烷,和1.0mL次氯酸鈉溶液,劇烈振盪1min,靜置分層,除去水層後在正庚烷層中加入25mL碳酸氫鈉溶液,振盪1min。靜置取上層有機相經0.45μm 微孔有機相濾膜過濾,濾液備進樣用。
儀器參考條件
色譜柱:C18柱,5μm,150mm×3.9mm(i,d),或同等性能的色譜柱。
流動相:乙腈+水(70+30)。
流速:0.8mL/min。
進樣量:10μL。
柱溫:40℃。
檢測器:紫外檢測器或二極體陣列檢測器。
檢測波長:314nm。
1.色譜柱:C18柱,5μm,150mm×3.9mm(i,d),或同等性能的色譜柱。
2.流動相:乙腈+水(70+30)。
3.流速:0.8mL/min。
4.進樣量:10μL。
5.柱溫:40℃。
6.檢測器:紫外檢測器或二極體陣列檢測器。
7.檢測波長:314nm。
標準曲線的製作
移取10mL環己基氨基磺酸標準系列工作液衍生化。取過0.45μm 微孔有機相濾膜後的溶液10μL分別注入液相色譜儀中,測定相應的峰面積,以標準工作溶液的濃度為橫坐標,以環己基氨基磺酸鈉衍生化產物N ,N-二氯環己胺峰面積為縱坐標,繪製標準曲線。
樣品的測定
將衍生後試樣溶液10μL注入液相色譜儀中,保留時間定性,測得峰面積,根據標準曲線得到試樣定容溶液中環己基氨基磺酸的濃度,平行測定次數不少於兩次。
分析結果的表述
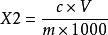
試樣中環己基氨基磺酸含量按式(2)計算:
食品中環己基氨基磺酸鈉的測定…………………………(2)
式中:
X2 ———試樣中環己基氨基磺酸的含量,單位為克每千克(g/kg);
c ———由標準曲線計算出試樣定容溶液中環己基氨基磺酸的濃度,單位為微克每毫升(μg/mL);
V ———試樣的最後定容體積,單位為毫升(mL);
m ———試樣的質量,單位為克(g);
1000 ———由μg/g換算成g/kg的換算因子。
計算結果以重複性條件下獲得的兩次獨立測定結果的算術平均值表示,結果保留三位有效數字。
精密度
在重複性條件下獲得的兩次獨立測定結果的絕對差值不得超過算術平均值的10%。
其他
取樣量5g時,本方法檢出限為0.010g/kg,定量限0.030g/kg。
液相色譜-質譜/質譜法
原理
酒樣經水浴加熱除去乙醇後以水定容,用液相色譜-質譜/質譜儀測定其中的環己基氨基磺酸鈉,外標法定量。
試劑和材料
除非另有說明,本方法所用試劑均為分析純,水為GB/T6682規定的一級水。
試劑
甲醇(CH3OH):色譜純。
乙酸銨(CH3COONH4)。
10mmol/L 乙酸銨溶液:稱取0.78g乙酸銨,用水溶解並稀釋至1000mL,搖勻後經0.22μm水相濾膜過濾備用。
1.甲醇(CH3OH):色譜純。
2.乙酸銨(CH3COONH4)。
3.10mmol/L 乙酸銨溶液:稱取0.78g乙酸銨,用水溶解並稀釋至1000mL,搖勻後經0.22μm水相濾膜過濾備用。
標準品
環己基氨基磺酸鈉標準品(C6H12NSO3Na):純度≥99%。
標準溶液配製
環己基氨基磺酸標準儲備液(5.00mg/mL):按第一法3.4.1 配製。
環己基氨基磺酸標準中間液(1.00mg/mL):按第一法3.4.2 配製。
環己基氨基磺酸標準工作液(10μg/mL):用水將1.00mL標準中間液(17.3.2)定容至100mL。放置於1℃~4℃冰櫃可保存一周。
環己基氨基磺酸標準曲線系列工作液:分別吸取適量體積的標準工作液(17.3.3),用水稀釋,配成濃度分別為0.01μg/mL、0.05μg/mL、0.1μg/mL、0.5μg/mL、1.0μg/mL、2.0μg/mL的系列標準工作溶液。使用前配置。
微孔濾膜:0.22μm,水相。
1.環己基氨基磺酸標準儲備液(5.00mg/mL):按第一法3.4.1 配製。
2.環己基氨基磺酸標準中間液(1.00mg/mL):按第一法3.4.2 配製。
3.環己基氨基磺酸標準工作液(10μg/mL):用水將1.00mL標準中間液(17.3.2)定容至100mL。放置於1℃~4℃冰櫃可保存一周。
4.環己基氨基磺酸標準曲線系列工作液:分別吸取適量體積的標準工作液(17.3.3),用水稀釋,配成濃度分別為0.01μg/mL、0.05μg/mL、0.1μg/mL、0.5μg/mL、1.0μg/mL、2.0μg/mL的系列標準工作溶液。使用前配置。
5.微孔濾膜:0.22μm,水相。
儀器和設備
液相色譜-質譜/質譜儀,配有電噴霧(ESI)離子源。
分析天平,感量0.1mg、0.1g。
恆溫水浴鍋。
1.液相色譜-質譜/質譜儀,配有電噴霧(ESI)離子源。
2.分析天平,感量0.1mg、0.1g。
3.恆溫水浴鍋。
分析步驟
試樣溶液製備
稱取酒樣10.0g,置於50mL燒杯中,於60℃水浴上加熱30min,殘渣全部轉移至100mL容量瓶中,用水定容並搖勻,經0.22μm 水相微孔濾膜過濾後備用。
儀器參考條件
色譜柱:C18柱,1.7μm,100mm×2.1mm(i,d),或同等性能的色譜柱。
流動相:甲醇、10mmol/L乙酸銨溶液。
梯度洗脫:參見附錄A 中的表A.1。
流速:0.25mL/min。
進樣量:10μL。
柱溫:35℃。
1.色譜柱:C18柱,1.7μm,100mm×2.1mm(i,d),或同等性能的色譜柱。
2.流動相:甲醇、10mmol/L乙酸銨溶液。
3.梯度洗脫:參見附錄A 中的表A.1。
4.流速:0.25mL/min。
5.進樣量:10μL。
6.柱溫:35℃。
質譜操作條件
離子源:電噴霧電離源(ESI)。
掃描方式:多反應監測(MRM)掃描。
質譜調諧參數應最佳化至最佳條件,確保環己基氨基磺酸鈉在正離子模式下的靈敏度達到最佳狀態,並調節正、負模式下定性離子的相對豐度接近。質譜調諧參數和定性、定量離子參見附錄A。
1.離子源:電噴霧電離源(ESI)。
2.掃描方式:多反應監測(MRM)掃描。
3.質譜調諧參數應最佳化至最佳條件,確保環己基氨基磺酸鈉在正離子模式下的靈敏度達到最佳狀態,並調節正、負模式下定性離子的相對豐度接近。質譜調諧參數和定性、定量離子參見附錄A。
標準曲線的製作
將配製好的標準系列溶液(17.3.4)按照濃度由低到高的順序進樣測定,以環己基氨基磺酸鈉定量離子的色譜峰面積對相應的濃度作圖,得到標準曲線回歸方程。典型的環己基氨基磺酸鈉標準溶液選擇反應監測質量色譜圖參見附錄B。
定性測定
在相同的試驗條件下測定試樣溶液(19.1),若試樣溶液質量色譜圖中環己基氨基磺酸鈉的保留時間與標準溶液一致(變化範圍在±2.5%以內),且試樣定性離子的相對豐度與濃度相當的標準溶液中定性離子的相對豐度,其偏差不超過表1的規定,則可判定樣品中存在環己基氨基磺酸鈉。
| 相對離子豐度/% | >50 | >20~50 | >10~20 | ≤10 |
| 允許的相對偏差/% | ±20 | ±25 | ±30 | ±50 |
定量測定
將試樣溶液注入液相色譜-質譜/質譜儀中,得到環己基氨基磺酸鈉定量離子峰面積,根據標準曲線計算試樣溶液中環己基氨基磺酸的濃度,平行測定次數不少於兩次。
分析結果的表述
試樣中環己基氨基磺酸含量按式(3)計算:
食品中環己基氨基磺酸鈉的測定…………………………(3)
式中:
X3———試樣中環己基氨基磺酸的含量,單位為毫克每千克(mg/kg);
c ———由標準曲線計算出的試樣溶液中環己基氨基磺酸的濃度,單位為微克每毫升(μg/mL);
V ———試樣的定容體積,單位為毫升(mL);
m ———試樣的質量,單位為克(g)。
計算結果以重複性條件下獲得的兩次獨立測定結果的算術平均值表示,結果保留三位有效數字。
精密度
在重複性條件下獲得的兩次獨立測定結果的絕對差值不得超過算術平均值的10%。
其他
本方法檢出限為0.03mg/kg,定量限為0.1mg/kg。
附 錄 A
液相色譜梯度洗脫條件
見表A.1。
表A.1 液相色譜梯度洗脫條件負離子模式的質譜參考條件
毛細管電壓:2.8kV;
離子源溫度:110℃;
脫溶劑氣溫度:450℃;
脫溶劑氣(N2)流量:700L/h;
錐孔氣(N2)流量:50L/h;
解析度:Q1(單位質量分辨)Q3(單位質量分辨);
碰撞氣及碰撞室壓力:氬氣,3.6×10-3 mPa;
掃描方式:多反應監測(MRM);
環己基氨基磺酸鈉參考保留時間、定性定量離子對及錐孔電壓、碰撞能量見表A.2。
1.毛細管電壓:2.8kV;
2.離子源溫度:110℃;
3.脫溶劑氣溫度:450℃;
4.脫溶劑氣(N2)流量:700L/h;
5.錐孔氣(N2)流量:50L/h;
6.解析度:Q1(單位質量分辨)Q3(單位質量分辨);
7.碰撞氣及碰撞室壓力:氬氣,3.6×10-3 mPa;
8.掃描方式:多反應監測(MRM);
9.環己基氨基磺酸鈉參考保留時間、定性定量離子對及錐孔電壓、碰撞能量見表A.2。
正離子模式的質譜參考條件
毛細管電壓:3.5kV;
離子源溫度:110℃;
脫溶劑氣溫度:450℃;
脫溶劑氣(N2)流量:700L/h;
錐孔氣(N2)流量:50L/h;
解析度:Q1(單位質量分辨)Q3(單位質量分辨);
碰撞氣及碰撞室壓力:氬氣,3.6×10-3 mPa;
掃描方式:多反應監測(MRM);
環己基氨基磺酸鈉參考保留時間、定性定量離子對及錐孔電壓、碰撞能量見表A.2。
表A.2附 錄 B
衍生後的氣相色譜圖
環己基氨基磺酸鈉標準溶液衍生後的氣相色譜圖見圖B.1。
圖B.1 衍生化處理後的氣相色譜圖衍生產物N ,N-二氯環己胺液相色譜圖
環己基氨基磺酸鈉標準溶液衍生產物N ,N-二氯環己胺液相色譜圖見圖B.2。
圖B.2 衍生物N ,N-二氯環己胺液相色譜圖液相色譜-質譜/質譜圖
環己基氨基磺酸鈉標準溶液的液相色譜-質譜/質譜圖見圖B.3。
圖B.3 液相色譜-質譜/質譜圖
