計算公式
電場能量密度與電場強度的平方成正比,用ω表示,則ω=k*E*E,其中k表示介電常數ε的一半。
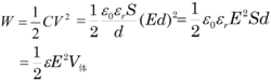
以平行板電容器為例。如圖推導W(說明,電場能量與電場強度的平方成正比,也與電場所占空間成正比)
對於體密度,則電場能量密度ω=W/V,W表示電場能量
電場能量密度所以電場能量密度ω=0.5 εE

此處先討論 充滿介質的平行板電容器(勻強的電場)下的電場能量密度。電場能量密度與電場強度的平方成正比,用ω表示,則ω=k*E*E,其中k表示介電常數ε的一半。
電場能量密度與電場強度的平方成正比,用ω表示,則ω=k*E*E,其中k表示介電常數ε的一半。
以平行板電容器為例。如圖推導W(說明,電場能量與電場強度的平方成正比,也與電場所占空間成正比)
對於體密度,則電場能量密度ω=W/V,W表示電場能量
電場能量密度所以電場能量密度ω=0.5 εE
