簡介
ionexchange
以離子交換劑上的可交換離子與液相中離子間發生交換為基礎的分離方法。廣泛採用人工合成的離子交換樹脂作為離子交換劑,它是具有網狀結構和可電離的活性基團的難溶性高分子電解質。根據樹脂骨架上的活性基團的不同,可分為陽離子交換樹脂、陰離子交換樹脂、兩性離子交換樹脂、螯合樹脂和氧化還原樹脂等。用於離子交換分離的樹脂要求具有不溶性、一定的交聯度和溶脹作用,而且交換容量和穩定性要高。
離子交換反應是可逆的,而且等當量地進行。由實驗得知,常溫下稀溶液中陽離子交換勢隨離子電荷的增高,半徑的增大而增大;高分子量的有機離子及金屬絡合陰離子具有很高的交換勢。高極化度的離子如Ag+、Tl+等也有高的交換勢。離子交換速度隨樹脂交聯度的增大而降低,隨顆粒的減小而增大。溫度增高,濃度增大,交換反應速率
EDI技術在國外廣泛的套用有十幾年的時間,大多用於製藥行業、微電子行業、發電工業和實驗室。在表面清洗、表面塗裝、電解工業和化工工業的套用也日趨廣泛。在我國套用時間只有2-3年,主要用於醫藥和微電子工業的超純水的處理,而在發電行業化學水處理系統中的套用剛剛興起。
結論
EDI裝置屬於水精處理設備,具有連續產水、水質高、易控制、占地少、不需酸鹼、利於環保等優點,具有廣泛的套用前景。隨著設備改進與技術完善以及針對不同行業進行最佳化,初投資費用會大大降低。可以相信在不久的將來會完全取代傳統的水處理工藝中的混合。
原理
平衡
有兩種理論可用於研究交換過程的選擇性:
① 多相化學反應理論假定離子A1與A2之間有如下的交換反應:
離子交換式中Z1和Z2分別為離子A1和A2的化合價;A1和A2表示存在於溶液相中的離子;凴1和凴2表示存在於樹脂相中的離子。以離子濃度C代替活度,依據質量作用定律,可得出離子交換平衡常數為: 式中C1、C2、叿1和叿2分別為A1、A2、凴1和凴2的離子濃度。此常數又稱選擇性係數。
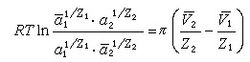
②膜平衡理論認為樹脂表面相當於半透膜, 所交換的離子能自由通過;而連線在樹脂骨架上的離子不能通過。按照F.G.唐南膜平衡原理,可得出格雷戈爾公式:
離子交換式中R為摩爾氣體常數;T為絕對溫度;α1、α2、ā1和ā2分別為離子A1、A2、凴1和凴2的活度;π為滲透壓;堸為位於樹脂相的離子的偏摩爾體積。由上式可以看出,化合價較高、體積較小(即水化半徑較小)的離子,將優先與樹脂結合。因此,溶液中各種離子的化合價及體積相差越大,離子交換過程的選擇性越高。
動力學
離子交換是一種液固相反應過程,必然涉及物質在液相和固相中的擴散過程。在常溫下,交換反應的速度很快,不是控制因素。如果進行交換的離子在液相中的擴散速度較慢,稱為外擴散控制,如果在固相中的擴散較慢,則稱為內擴散控制。
早期的研究系從斐克定律(見分子擴散)出發,所導出的速率方程式只適用於同位素離子的交換。實際上,離子交換過程至少有兩種離子反向擴散。如果它們的擴散速率不等,就會產生電場,此電場必對離子的擴散產生影響。考慮到此電場的影響,F.G.赫爾弗里希導出相應的速率方程為:
離子交換式中N為物質通量;D為擴散係數;F為法拉第常數;φ為電極電位。
設備
主要類型有:①攪拌槽(見傳質設備),適用於處理粘稠液體。當單級交換達不到要求時,可用多級組成級聯。②固定床離子交換器,也稱離子交換柱,是用於離子交換的固定床傳質設備,套用最廣。③移動床離子交換器,是用於離子交換的移動床傳質設備,由於技術上的困難尚未得到工業套用。
水處理中的套用
EDI的工作原理
EDI(Electro-de-ionization)是一種將離子交換技術、離子交換膜技術和離子電遷移技術(電滲析技術)相結合的純水製造技術。該技術利用離子交換能深度脫鹽來克服電滲析極化而脫鹽不徹底,又利用電滲析極化而發生水電離產生H和OH離子實現樹脂自再生來克服樹脂失效後通過化學藥劑再生的缺陷,是20世紀80年代以來逐漸興起的新技術。經過十幾年的發展,EDI技術已經在北美及歐洲占據了相當部分的超純水市場。
EDI裝置包括陰/陽離子交換膜、離子交換樹脂、直流電源等設備。其中陰離子交換膜只允許陰離子透過,不允許陽離子通過,而陽離子交換膜只允許陽離子透過,不允許陰離子通過。離子交換樹脂充夾在陰陽離子交換膜之間形成單個處理單元,並構成淡水室。單元與單元之間用網狀物隔開,形成濃水室。在單元組兩端的直流電源陰陽電極形成電場。來水水流流經淡水室,水中的陰陽離子在電場作用下通過陰陽離子交換膜被清除,進入濃水室。在離子交換膜之間充填的離子交換樹脂大大地提高了離子被清除的速度。同時,水分子在電場作用下產生氫離子和氫氧根離子,這些離子對離子交換樹脂進行連續再生,以使離子交換樹脂保持最佳狀態。EDI裝置將給水分成三股獨立的水流:純水、濃水、和極水。純水(90%-95%)為最終得到水,濃水(5%-10%)可以再循環處理,極水(1%)排放掉。圖2表示了EDI的淨水基本過程。
EDI裝置屬於精處理水系統,一般多與反滲透(RO)配合使用,組成預處理、反滲透、EDI裝置的超純水處理系統,取代了傳統水處理工藝的混合離子交換設備。EDI裝置進水要求為電阻率為0.025-0.5MΩ·cm,反滲透裝置完全可以滿足要求。EDI裝置可生產電阻率高達15MΩ·cm以上的超純水。
EDI裝置的特點
EDI裝置不需要化學再生,可連續運行,進而不需要傳統水處理工藝的混合離子交換設備再生所需的酸鹼液,以及再生所排放的廢水。其主要特點如下:
EDI的淨水基本過程
·連續運行,產品水水質穩定
·容易實現全自動控制
·無須用酸鹼再生
·不會因再生而停機
·節省了再生用水及再生污水處理設施
·產水率高(可達95%)
·無須酸鹼儲備和酸鹼稀釋運送設施
·占地面積小
·使用安全可靠,避免工人接觸酸鹼
·降低運行及維護成本
·設備單元模組化,可靈活的組合各種流量的淨水設施
·安裝簡單、費用低廉
·設備初投資大
與混床設備比較
EDI裝置與混床離子交換設備屬於水處理系統中的精處理設備,下面將兩種設備在產水水質、投資量及運行成本方面進行比較,來說明EDI裝置在水處理中套用的優越性。
(1)產品水水質比較
EDI裝置是一個連續淨水過程,因此其產品水水質穩定,電阻率一般為15MΩ·cm,最高可達18MΩ·cm,達到超純水的指標。混床離子交換設施的淨水過程是間斷式的,在剛剛被再生後,其產品水水質較高,而在下次再生之前,其產品水水質較差。
(2)投資量比較
與混床離子交換設施相比EDI裝置投資量要高約20%左右,但從混床需要酸鹼儲存、酸鹼添加和廢水處理設施及後期維護、樹脂更換來看,兩者費用相差在10%左右。隨著技術的提高與批量生產,EDI裝置所需的投資量會大大的降低。另外,EDI裝置設備小巧,所需廠房遠遠小於混床。
(3)運行成本比較
EDI裝置運行費用包括電耗、水耗、藥劑費及設備折舊等費用,省去了酸鹼消耗、再生用水、廢水處理和污水排放等費用。
在電耗方面,EDI裝置約0.5kWh/t水,混床工藝約0.35kWh/t水,電耗的成本在電廠來說是比較經濟的,可以用廠用電的價格核算。
在水耗方面,EDI裝置產水率高,不用再生用水,因此在此方面運行費用低於混床。
至於藥劑費和設備折舊費兩者相差不大。
總的來說,在運行費用中,EDI裝置噸水運行成本在2.4元左右,常規混床噸水運行成本在2.7元左右,高於EDI裝置。因此,EDI裝置多投資的費用在幾年內完全可以回收。
EDI技術的套用
EDI技術在國外廣泛的套用有十幾年的時間,大多用於製藥行業、微電子行業、發電工業和實驗室。在表面清洗、表面塗裝、電解工業和化工工業的套用也日趨廣泛。在我國套用時間只有2-3年,主要用於醫藥和微電子工業的超純水的處理,而在發電行業化學水處理系統中的套用剛剛興起。
結論
EDI裝置屬於水精處理設備, 具有連續產水、水質高、易控制、占地少、不需酸鹼、利於環保等優點, 具有廣泛的套用前景。隨著設備改進與技術完善以及針對不同行業進行最佳化, 初投資費用會大大降低。可以相信在不久的將來會完全取代傳統的水處理工藝中的混合 。
離子交換反滲透與水的淨化異同
控制氮含量的方法(4種):生物硝化-反硝化(無機氮延時曝氣氧化成硝酸鹽,再厭氧反硝化轉化成氮氣);折點氯化(二級出水投加氯,到殘餘的全部溶解性氯達到最低點,水中氨氮全部氧化);選擇性離子交換;氨的氣提(二級出水pH提高到11以上,使銨離子轉化為氨,對出水激烈曝氣,以氣體方式將氨從水中去除,再調節pH到合適值)。每種方法氮的去除率均可超過90%。

