列表
在列表中,數據項的順序是確定的,也可以存在多個相同的數據項。列表支持的操作包括查找項目並找到其位置(若存在),將項目從列表中刪除,在特定位置插入項目等。通常的佇列,或稱FIFO即是一個列表,該列表只能在一端添加項目,而在另一端刪除項目。而棧,或LIFO則只能在同一端添加或刪除項目。不管是佇列還是棧,集合中項目的順序都應當是一定的,因此這兩種情況只是列表的特例。其它列表支持的操作包括排序,再一次說明了其中順序的重要性。
列表的具體形式包括數組,鍊表等。
集
與列表不同,在 集中,數據項是無序的,也不允許存在相同數據項。集支持添加、刪除和查找項目。一些語言內建對集的支持,而在其它語言中,可以利用散列表實現集。
多重集
多重集的行為類似於集,其中數據項是無序的。但在多重集中,可以存在相同的數據項。多重集支持的操作包括添加、刪除項,查詢相同項在多重集中出現的次數。多重集可以通過排序轉換成列表。
關聯數組
關聯數組(或稱查找表,字典等)的行為和字典相似,為鍵(例如字典中的單詞)輸入提供一個值(如字典中的定義)輸出。值可以是對複雜數據結構的引用。通常使用散列表實現高效率的關聯數組。
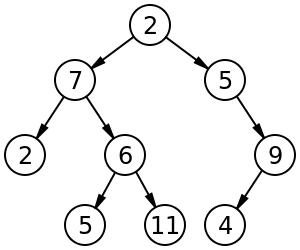
樹
title在 樹中,“根”節點與一定數量的數據項以親-子關係聯繫起來,而其子數據項也與另外的數據項以同樣的方式聯 系。除了根節點的每個項都有且只有一個父節點,並可能有一些子節點。樹支持的操作包括遍歷,插入等。用於排序操作的樹通常稱為堆。通常使用樹來保存存在包含親-子關係的數據,例如選單,目錄及其中檔案等。
圖
在圖中,每個數據項都可以與一個或多個其它數據項聯繫起來,其中每個節點都是平等的,類似於無根節點、無親-子關係的樹。圖支持的操作包括遍歷,查找等。圖常常用於對實際問題進行建模,並解決這些問題。在生成樹協定中,建立一張代表網路結構的圖(或稱格線),從而了解應當斷開哪些鏈路以避免數據迴圈。
抽象概念及其實現
title如上所述,集合,以及集合的各種分類都只是抽象概念。由於名字相同或相似,集合及其在各種語言中的實現常常會造成文字上的混淆。集合,列表,集,樹等名字究竟是數據結構,抽象數據類型抑或類只能通過具體分 析來確定。其中,集合則是計算問題的解決方案中抽象程度最高的概念。從這個方面來看,若過於關注其實現,則可能會對理解集合的數學概念產生反作用。
