基本介紹
元素為+1或-1的n階方陣 H稱為n階阿達馬矩陣,若且唯若 HH = nI,換句話說, H是一個正交矩陣,如果 H的第一行全為+1,則稱它為規一化的阿達馬矩陣。
n階阿達馬矩陣存在的必要條件是n=1,2或4k。
2 階阿達馬矩陣 H可以按如下方法遞歸地生成: H=1,對非負整數n≥0,
阿達馬碼
阿達馬碼
阿達馬碼
阿達馬碼將一個規一化的n階阿達馬矩陣中的+1變為0,同時將-1變為1,得到矩陣 A稱 阿達馬碼,若將 A的第一列去掉,便得到一個碼 A,若將 A與其互補矩陣重疊,便得到一個碼,若將 A與其互補矩陣重疊,便得到一個碼。
只要存在足夠的阿達馬矩陣,那么普洛特金(Plotkin)界是可以達到的 。
阿達馬碼的套用
阿達馬矩陣還可在數字通信中用於構造糾錯碼,從阿達馬矩陣產生的糾錯碼稱為阿達馬碼。字長為32的阿達馬碼曾被1969年美國發射的航海者號宇宙飛船實際採用,得到了人類從宇宙空間發回的第1張行星照片,從火星及水星等行星拍攝到的每一張黑白照片分成600行、600列,共由36萬個點組成,每個點(即一小方格)的明暗程度分為64個等級,由6維的二元向量(即每個分量只能取0或1的向量)來表示,經過編碼後每個6維向量變為字長為2 =32的阿達馬碼中的某個碼字,然後發回地面,即使在字宙空間中因各種干擾使字長為32的碼字發生畸變,但只要發生差錯的位置不超過7個,地面上收到畸變的碼字後仍能正確譯出原來的6維二元向量,提高了清晰程度,利用阿達馬矩陣還可構造其他類型的碼(如三元自對偶碼)。
相關定理及介紹
Plotkin界
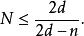
設A(n,d)是(n,d)代碼中代碼字的最大數量,下面的結果給出大多數情況下的一個更好的上界 。
阿達馬碼定理1(Plotkin)假設(n, d)代碼有N個代碼字,如果,那么
阿達馬碼
阿達馬碼
阿達馬碼推論2 如果,則
阿達馬碼
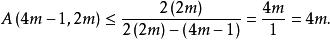
阿達馬碼一個秩為4的規範阿達馬矩陣給出一個的(n,d)代碼,且有個代碼字,因此
阿達馬碼根據推論2,有
阿達馬碼因此,從規範阿達馬矩陣得到的代碼與最佳可能的代碼很接近,根據代碼字的數量,通過加入一個代碼字1...1,我們可以得到最佳可能的代碼,這個字與由阿達馬矩陣所得的任意代碼字的距離是2m,因為任意這樣的代碼字都有2m-1個1和2m個0,因此,我們有4m個字的代碼,其中每一個字的長度是4m-1,而且兩個代碼字之間的最小距離等於2m,這個代碼稱為(4m-1)阿達馬碼。所以有:
阿達馬碼等式(1)和不等式(2)給出下面的定理:
定理3 對於存在秩為4m的(規範)阿達馬矩陣的所有m,有:
阿達馬碼這個界是通過使用(4m-1)阿達馬碼得到的。
設B(n,d)是長度為n的字的最大數量,其中每一個字與其他字之間的距離都正好是d,顯然,B(n,d)≤A(n, d)。
推論4對於存在秩為4m的規範阿達馬矩陣的所有m,有
阿達馬碼證明:我們已構造的代碼字都有距離2m。
注意,有趣的是,有時可以通過把代碼字的長度增加1而得到豐富得多的代碼,我們將證明下面的定理。
定理5 對於存在秩為4m的規範阿達馬矩陣的所有m,有
阿達馬碼這一定理表明, 在存在秩為4m的(規範)阿達馬矩陣的情況下,加人一個數字導致可能的代碼字數量成倍增加一倍。
阿達馬碼
阿達馬碼定理6如果,那么
(4m)阿達馬碼還稱為(第一類) Reed-Muller碼, 這是以Reed和Muller的名字命名的,定理3和定理5的結果歸功於Levenshtein,他還得到了更一般的結果 。

