間接推導法的數據基礎與目標
| 中間使用 | 最終使用 | 總產出 | ||||
| 產品 | 產業 | |||||
| n個部門 | m個部門 | |||||
| 中間投入 | 產品 | n個部門 | Uij | Yi | Qi | |
| 產業 | m個部門 | Vij | Xi | |||
| 最初投入 | Pj | |||||
| 總投入 | Qj | |||||
表中,標有字母的區域表示進行間接推導法所需要的數據基礎,淺灰色區域表示作為編表目標的產品×產品投入產出表的各個組成部分。
Uij 矩陣:產品×產業矩陣,又稱U表或使用矩陣,Uij 表示第j個產業部門當期所使用的第i種產品的數量。
Vij 矩陣:產業×產品矩陣,又稱V表、製造矩陣或供應矩陣,Vij 表示第i個產業部門當期所製造的第j種產品的數量。
Yi :按產品部門分類的最終使用,不涉及分解問題。
Pj,Xj :產業部門增加值和總產出,只需要通過放大工作把規模以下單位的產值包括在內即可,而不需要分解。
Qj :產品部門總產出,若V矩陣已知,其列向求和即Qj ,無須單獨計算。
推導公式
1.投入係數hij ,矩陣記為H
(1)公式
間接推導法(2)含義:第j個產業部門生產1單位總產出所投入的第i種產品的數量。
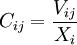
2.部門的產品比例係數Cij ,矩陣轉置記為C
(1)公式
間接推導法(2)含義:第i個產業部門總產出中, j產品產值所占比重,。
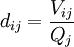
3.產品的部門比例係數dij ,矩陣記為D
(1)公式
間接推導法(2)含義:j產品中由i產業部門生產部分所占的比重。
4.假設條件
(1)部門工藝假定:同一產業部門生產的各種產品投入構成相同。
(2)產品工藝假定:不論由哪個部門生產,同一種產品的投入構成相同。
5.推導公式
(1)按照部門工藝假定,產品×產品投入產出係數矩陣Ad的計算公式
Ad = HD
aij :第j個產品部門單位總產出所投入的i產品的數量。
(2)按照產品工藝假定,產品×產品投入產出係數矩陣Ac的計算公式
Ac = HC − 1
Ac 的含義與Ad 完全相同。
(3)無論採用何種假定,在計算出產品×產品投入產出係數矩陣後,將矩陣中每一列都乘以該列對應產品部門的總產出,就得到了產品×產品中間投入矩陣。
