概念
鋼材的鬆弛是鋼材在長度和溫度維持固定不變的狀態下,預應力筋中的拉應力隨時間而發生的損失。鋼材的孫馳損失一般由試驗測得。可以認為“鬆弛”是材料受到外力“襲擊”的一種“自衛”反應。
鬆弛與時間的關係
鋼材鬆弛
鋼材鬆弛鋼材的鬆弛損失都是通過試驗得到的,試驗採用的初始應力範圍常為,溫度則以20°C為準。當初始拉應力不超過時, 鬆弛損失很小, 一般可忽略不計;但隨著初始預應力·或溫度的提高,鬆弛損失有劇烈的增長。
鬆弛的發展比較慢,要經歷很多年時間才能完成。所以,習慣上都把1000小時發生的短期鬆弛作為推斷長期鬆弛的依據。目前對各種鋼材的長期鬆弛還沒有資料, 根據1000小時的實測數值,鬆弛隨時間發展(溫度為20°)的大致致規律示於圖1。
圖1由圖1可見,鬆弛的發展,開始比較快, 以後逐步衰減。國際上曾對鬆弛進行過大量的實驗和理論研究工作,發表有大量的文獻。不少學者認為,50年的長期鬆弛損本大約為1000小時鬆弛損失的2.4~4.0倍。對實際設計, 可取用等於1000小時的3倍。
預應力鋼材最大鬆弛值
圖2
鋼材鬆弛
鋼材鬆弛目前,國際市場上供應的各種鋼材的鬆弛損失差別較大,但從設計實用出發,認為大體上可以分為兩類。每類鋼材在各種初始應力(以初始拉應力與抗拉強度的比值表示)下,經1000小時(溫度為20°C)的最大鬆弛值列於圖2。
鋼材鬆弛
鋼材鬆弛
鋼材鬆弛鬆弛損失按近於第一類的有應力消除的高強鋼絲與鋼絞線;接近於第二類的有低鬆弛的鋼絲與鋼絞線以及某些鋼筋。我國天津鋼廠生產的應力消除高強鋼絲及、鋼絞線,其鬆弛損火接近與第一類。我國各鋼廠生產的各種鋼筋接近於第二類。有些國家生產的鋼絲與鋼絞線可能介於第一與第二類之間。
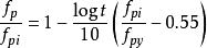
鋼材鬆弛損失方程
表示鋼材鬆弛損失的方程如下:
鋼材鬆弛
圖3
鋼材鬆弛
鋼材鬆弛AIC規範容許初始預力(在鋼腱錨定之後)為。由圖3,雖然更高的,持續不斷的應力級位,將形成較高的鬆弛損失。此為限制初始最大應力的一種原因。故使用低鬆弛的鋼索,能相當大的減輕損失。所以鋼索目前被較廣泛的套用。許多設計情勢,可選擇此材料的使用,降低鬆弛損失(最大約為3.5%),雖其成本較應力解除鋼索較高。
預應力混泥土結構鋼材鬆弛損失
圖4分項計算預應力筋的各項損失,然後再疊加的方法,不僅繁瑣,也難以做到精確。為了簡化,對一般用的預應力高強鋼材與混凝土,在一般氣候環境下製作與使用的預應力混凝土結構,其平均總損失值和各分項的平均損失值用百分比表達,如圖4。
鋼絞線鬆弛損失
能否正確預計預應力損失並設法減少預應力的損失,是保證預應力閘墩構件質量的關鍵,其各項損失初估如下:
一端張拉,鋼絞線為低鬆弛材料:
(1)鋼材鬆弛損失4.5%;
(2)混凝土收縮、徐變損失3.5%;
(3)直線段摩阻損失4%;
(4)錨固損失及彎曲段摩阻損失,與直線段長度、彎曲半徑有關(已考慮3%的錨口損失)
總預應力損失大致範圍:16%~23%。
不同鋼材的應力鬆弛曲線
鋼材鬆弛
鋼材鬆弛
鋼材鬆弛鋼材的鬆弛試驗一般使用很長的試件(數米至數十米)水平放置,一端固定在台座上,另一端在施加拉力後固定住,保持試件的長度不變。為了保證試驗的準確性,一般在溫濕度變化較小的地下室進行試驗。試驗開始時,試件的控制應力為,以後試件的應力隨時間而減小,量測得應力鬆弛值。一般取應力持續1000h的鬆弛值()作為標準。圖5是4種鋼筋的應力鬆弛試驗結果。
圖5
