基本介紹
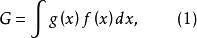
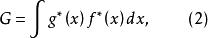
考慮如下積分的蒙特卡羅計算問題
重要抽樣法
重要抽樣法
重要抽樣法
重要抽樣法
重要抽樣法
重要抽樣法
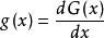
重要抽樣法其中為隨機變數的分布密度,的二階矩存在。引入新的分布密度,當時,,則上述積分也可以表示成另一種形式
重要抽樣法
重要抽樣法
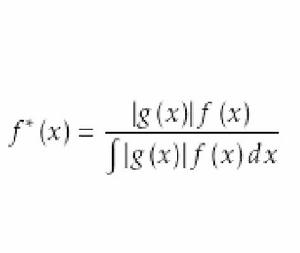
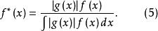
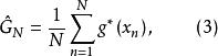
重要抽樣法其中,計算積分(1)的重要抽樣方法是,確定合適的,用下式作為其近似估計
重要抽樣法
重要抽樣法
重要抽樣法
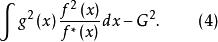
重要抽樣法其中是母體分布為的簡單子樣。無偏統計量的方差由下式給出
重要抽樣法
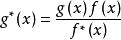
重要抽樣法則使此方差達到最小的為
重要抽樣法
重要抽樣法
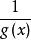
重要抽樣法因此,對的最合適的選擇是使其與成正比。 重要抽樣法有時也稱 偏倚抽樣法,它的一般原理是:選擇偏倚分布密度,使得所確定的無偏統計量儘量與其中的隨機變數的取值關係不大。只要抽樣分布與無偏統計量的變化引起的計算量改變不大,便可用此偏倚分布與相應的無偏統計量代替原分布與相應的無偏統計量 。
相關分析
重要抽樣法對應於數學上的變數代換方法。即
重要抽樣法
重要抽樣法
重要抽樣法
重要抽樣法
重要抽樣法
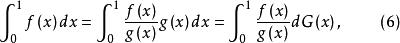
重要抽樣法此時隨機點的選擇不再是均勻的,而是以分布函式分布的。被積函式也乘以權重,其中。這時公式(6)右邊積分中被積函式的方差為。
重要抽樣法
重要抽樣法如果選擇恰當,以使它在積分域內的函式形狀與接近,則該方差可以變得很小。因
重要抽樣法而函式的選擇十分關鍵,它應滿足如下條件:
重要抽樣法(1)應當是個分布密度函式。
重要抽樣法
重要抽樣法
重要抽樣法(2)不應起伏太大,使之儘量在積分域內近似等於常數,以保證方差比小。
重要抽樣法
重要抽樣法(3)密度函式對應的分布函式,能較方便地解析求出。
重要抽樣法(4)能方便地產生在積分域內,滿足分布函式分布的隨機點。
重要抽樣法如能按上述條件找到函式,就可以依下列步驟求積分:
重要抽樣法
重要抽樣法(1)根據密度函式產生隨機點,例如採用反函式法。
重要抽樣法
重要抽樣法
重要抽樣法(2)求出各抽樣點的函式值,並將所有點的該函式值疊加起來除以抽樣點數就得到積分結果。
重要抽樣法
重要抽樣法
重要抽樣法
重要抽樣法
重要抽樣法也可採用作為分布密度函式,利用舍選法以捨去或接受各隨機點的值。用此方法時,應當至少可以事先以經驗判斷出的最大值。當然最好能從中,推導出,但在很多時候這是比較困難的。
重要抽樣法
重要抽樣法
重要抽樣法
重要抽樣法
重要抽樣法
重要抽樣法以上的討論可很容易地推廣到更高維的積分計算中,但要注意如下兩方面的問題:第一,在產生隨機向量的某個分量時,沒有必要用舍選法,在產生了隨機向量的所有分量後,再用舍選法往往更快,效率更高。第二,在計算值之前,作隨機變數到的變換有時是很有用的,這時需將雅可比行列包括在權重因子內。
重要抽樣法的局限性
重要抽樣法無疑是蒙特卡羅計算中最基本和常用的技巧之一,它無論在提高計算速度和增加數值結果的穩定性方面都有很大的潛力,但是它仍有一些局限性,譬如:
重要抽樣法
重要抽樣法
重要抽樣法(1) 尋找分布函式,並能解析求出其對應的分布函式的情況並不多。當然也可用數值計算方法求出,但通常這樣處理不靈活速度也慢,並且也不精確。
重要抽樣法
重要抽樣法
重要抽樣法
重要抽樣法(2) 當選擇在某點為零或很快趨於零時(如高斯分布),這時是很危險的,其方差可能趨於無窮大。即使是在某點不為零,但卻很小時,方差也可能很大,但是通常採用的從樣本點估計方差的方法卻可能不能檢查出來,這會使得結果不穩定 。

