分類
按反應器類型來分,半再生式重整裝置採用固定床反應器,連續再生式重整裝置採用移動床反應器。
從反應器的結構來看,工業用重整反應器主要有軸向式反應器和徑向式反應器兩種結構型式。它們之間的主要差別在於氣體流動方式不同和床層壓降不同。
軸向式反應器
重整反應器右圖是軸向式反應器的簡圖。反應器為圓筒形,高徑比一般略大於3。反應器外殼由20號鍋爐鋼板製成,當設計壓力為4MP,時,外殼厚度約40mm殼體內襯100mm厚的耐熱水泥層,裡面有一層厚3mm的高合金鋼襯裡。襯裡可防止碳鋼殼體受高溫氫氣的腐蝕,水泥層則兼有保溫和降低外殼壁溢的作用。為了使原料氣沿整個床層截面分配均勻,在入口處設有分配頭。油氣出日處設有鋼絲網以防山催化劑粉末被帶出。入口處設有事故氮氣線。反應器內裝有催化劑,其上方及下方均裝有惰性瓷球以防正操作波動時催化劑床層跳動而引起催化劑破碎,同時也有利於氣流的均勻分布。催化劑床層中設有呈螺旋形分布的若干測溫點,以便檢測整個床層的溫度分布情況,這對再生尤為重要。
徑向式反應器
下圖是徑向式反應器的簡圖。反應器殼體也是圓筒形。與軸向式反應器比較,徑向式反應器的主要特點是氣流以較低的流速徑向通過催化劑床層,床層壓降較低。徑向反應器的中心部位有兩層中心管,內層中心管的壁上鑽有許多兒毫米的小孔,外層中心管的壁上開了許多矩形小槽。沿反應器外殼壁周圍排列幾十個開有許多小的長形孔的扇形筒,在扇形筒與中心管之間的環形空間是催化劑床層。反應原料油氣從反應器頂部進入,經分配器後進入沿殼壁布滿的扇形筒內,從扇型筒小孔出來後沿徑向方向通過催化劑床層進行反應,反應後進入中心管,然後導出反應器。中心管頂上的罩帽是由幾節圓管組成的,其長度可以調節,用以調節催化劑的裝入高度。
徑向式反應器的壓降比軸向式反應器小得多,這一點對連續重整裝置尤為重要。因此,連續重整裝置的反應器都採用徑向式反應器,而且其再生器也是採用徑向式的。
反應器床層壓降
整裝置反應系統的壓降不僅影響反應壓力,而且影響循環氫壓縮機的消耗功率。對於一定的循環氫壓縮機,當系統壓降過大時就不能維持正常的操作壓力而不得不停工,對裝置運行的效率和經濟效益有重要影響。反應器床層壓降是反應系統壓降的重要組成部分,必須予以重視。
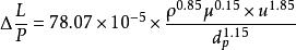
重整反應器床層的壓降可以用下式計算:
重整反應器式中
△p——床層壓降,at;
L——床層高度或厚度,;
ρ——流體密度,kg/m ;
μ——流體粘度,Pa·S;
u—一流體空塔線速,m/s;
d一一催化劑顆粒的當量直徑,m。
從上式來看,對壓降影響最大的因素是流體的空塔線速。對於一個工業裝置來說,ρ、u、d一般都不隨意變動。當裝置處理黃及各反應器催化劑裝入量比例一定時,反應器內催化劑量就被確定。此時,流體通過床層的線速就取決於所選反應器的高徑比。高徑比越小,壓降也越小。但是當高徑比小於3時,其造價隨著高徑比的降低而增大。因此在考慮降低壓降時還必須考慮反應器的投資費用。
以上主要是從如何降低床層壓降的角度來討論,因為在一般工業裝置中它常常表現為矛盾的主要方面。但是從另一方面來看,維持適當的床層壓降也是必需的,因為較高的反應物流速有利於反應物向催化劑表面擴散,要使反應物沿整個床層截面均勻分布就要求床層有一定的阻力(壓降)。

