定義
進給
jìnjǐ
進給運動的大小可以用進給量f來表示,即工件或刀具每轉一轉或往復行程一次時,刀具沿進給運動的方向上相對於工件的移動量。主運動是鏇轉運動時,進給量f的單位是mm/r;主運動是往復直線運動時,進給量f的單位是mm/dst(毫米/雙行程)。
公式
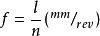
進給進給量:
式中 f(mm/rev):每分鐘進給量 ; l(mm/min):每分鐘切削速度 ; n(min-1)
其他解釋
增加俸祿。 唐 白居易 《李益王起杜元穎等賜爵制》:“有司亦能遵我成命,第而次之,進給益封,無有不當。”

進給是一個用於機械上的工具機上運動的術語,指連續操作(如在木工機械和金工機組)中使得工件移向刀具或刀具移向工件,主要是切削工作。
進給
jìnjǐ
進給運動的大小可以用進給量f來表示,即工件或刀具每轉一轉或往復行程一次時,刀具沿進給運動的方向上相對於工件的移動量。主運動是鏇轉運動時,進給量f的單位是mm/r;主運動是往復直線運動時,進給量f的單位是mm/dst(毫米/雙行程)。
進給進給量:
式中 f(mm/rev):每分鐘進給量 ; l(mm/min):每分鐘切削速度 ; n(min-1)
增加俸祿。 唐 白居易 《李益王起杜元穎等賜爵制》:“有司亦能遵我成命,第而次之,進給益封,無有不當。”
