串音分為近端串音(NEXT)和遠端串音(FEXT)兩種。
線纜在數據傳輸過程中,相鄰線對間在近端造成的電磁干擾會影響傳輸質量,因此要想辦法控制。這可以通過控制線對的絞距來實現線對間干擾強度。超五類等級以上的雙絞線設計成可以支持1000Base-T的傳輸,此時會用到四對線同時傳輸信號,因此僅考慮兩對線之間的串音是不夠的。於是,ISO/IEC 11801規定,對於超五類以上等級的永久鏈路和信道,除了近端串音需滿足標準要求,還應在永久鏈路和信道兩端測試近端串音功率和 。
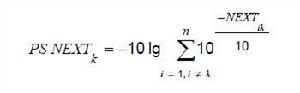
近端串音功率和是一個計算值,是通過測試一根雙絞線各線對的近端串音值后綜合計算得出。
近端串音功率和 其中
i是干擾線對的編號
k是被干擾線對的編號
n是線對總數
NEXT是線對 i對線對 k施加的近端串音
