套用場景
多台水泵同時供水的系統
對於採用多台水泵同時供水的系統中,由於供水管路中一般會有一定的水壓,後來起動的水泵如果從0Hz起動,就很難起動運轉,這種情況就需要直接從某一頻率起動,才能順利起動旋轉。
靜態摩擦力大的負載
如果變頻器驅動的負載,在靜態時的摩擦力就較大,從0Hz開始就難以起動。出現這種情況時,就需要設定起動頻率,以保證在起動瞬間產生一定的起動衝擊力,使系統順利起動工作。
錐形電動機
錐形電動機在起動時,由於其定子與轉子之間有一定的摩擦力存在,故也需要設定起動頻率,以保證在起動瞬間很快建立起足夠的磁通,以使定子與轉子之間維持一定的空氣隙,使電動機順利起動。
設定方法
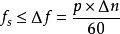
(1)恆轉矩負荷。一般以起動時電動機的同步轉速不超過額定轉差為宜。即:
起動頻率式中p——電動機極對數;△n——額定轉差,△n=n-n;n——同步轉速;n——額定轉速;
(1)平方轉矩負荷。由於平方轉矩負荷在低速時阻轉矩很小,故起動頻率可適當升高。
起動頻率實際調試時,應針對電動機難起動和過流跳閘問題,合理設定起動頻率來解決。對於起動轉矩大的電動機,應首先考慮設定合適的起動頻率參數,然後再根據負荷實際情況設定合理的轉矩提升曲線。如果起動過程中變頻器電流偏大,甚至發生過流跳閘時,可採用延長升速時間的方法來解決。但一般只要不過流,升速時間應儘量短以提高效率。
