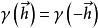
定義
變異函式概念的提出者是地統計學家喬治斯·馬瑟倫(Georges Matheron),在其1963年發表的著作Principles of geostatistics中,馬瑟倫定義了變異函式 :
變異函式
變異函式
變異函式
變異函式
變異函式
變異函式式中 為隨機場 中支撐集 內的一個點, 為 內任意兩點的向量(註:為與其它研究保持一致,這裡對原作的數學符號進行了修改)。馬瑟倫的定義等價於二階穩定過程中變異函式的定義,而更一般的變異函式定義如下 :
變異函式
變異函式
變異函式
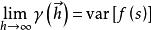
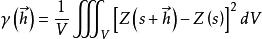
變異函式式中 和 表示數學期望和方差運算, 為隨機場內特定點的數學期望。
變異函式當變異函式套用於二階穩定過程(second-order stationary process)時,由於隨機場的數學期望處處相同,且協方差(covariance)僅與兩空間點所構成的向量 有關,此時變異函式可表示為:
變異函式更進一步地,當變異函式套用於具有各向同性(isotropy)的隨機場時,由於協方差僅與兩空間點的歐氏距離有關,與方向無關,此時的變異函式可表示為:
變異函式
變異函式變異函式及其有關概念在地統計學中是存在爭議的,喬治斯·馬瑟倫定義變異函式時,考慮到其計算了成對點 間的方差,因而為描述單個點的方差,另外定義了半變異函式 。但隨後“變異函式”和“半變異函式”在地統計學文獻中被長期混合使用,對閱讀造成了一定困擾 。有研究指出,變異函式完整具有半變異函式所表達的含義,而與半變異函式對應的概念“半方差(semivariance)”是不符合命名習慣的,因此要避免使用“半變異函式”的稱謂。在需要將變異函式的方差值與和通常意義上(與距離無關)的方差做區分時,可以使用“gammavariance” 。
性質
變異函式的數學本質是二階矩(second-order moment),因此恆為非負。且由定義可知,理論變異函式必定經過原點,為偶函式:
變異函式
變異函式若隨機場的協方差 存在,則變異函式與協方差有如下關係:
變異函式在二階穩定過程中,上式可化簡為:
變異函式
變異函式
變異函式此時,變異函式僅是兩點間向量 的函式。需要指出,該性質的反結論不成立,即當變異函式僅是向量 的函式並不能推出二階穩定過程,滿足該條件的隨機過程被稱為固有穩定過程(intrinsically stationary process) 。
參數
塊金(nugget)、基台(sill)和變程(range)是對變異函式進行描述和建模時的常見參數,它們有如下定義 :
塊金:由性質可知,變異函式必定經過原點,如果變異函式在經過原點之後跳躍至其它值,則該值被稱為塊金。
基台:在二階穩定過程下,隨著距離的增加,變異函式往往趨於平穩,在其呈平穩狀態時所達到的值稱為基台。如果變異函式在二階穩定過程下是可遍歷的(ergodic),則基台即是該隨機過程的方差:
變異函式變程:變異函式進入平穩狀態時對應的向量長度稱為變程,在實際套用中,當變異函式的值達到基台的95%以內時,可被認為進入平穩狀態。
建模
經驗變異函式(empirical variogram)
變異函式在實際套用中,隨機場或隨機過程的信息不是出處可用的,只能使用有限個樣本點計算經驗變異函式 ,在二階穩定過程下,經驗變異函式有如下表示:
變異函式
變異函式
變異函式
變異函式
變異函式式中 為成對樣本點 的數量。經驗變異函式的計算使用離散化的,其中 是離散化的度量,被稱為“跨度(lag)”或“頻寬(bandwidth tolerance)”。可以證明,頻寬為0時的經驗變異函式是對理論變異函式的無偏差估計(unbiased estimator)。因此經驗變異函式的代表性取決於可用樣本點的數量和分布,充足的樣本能夠儘可能地縮小頻寬,得到更加可靠的計算結果。
套用上式對格點數據進行計算時可有如下步驟:
1.計算所有樣本點的距離矩陣(distances matrix)
變異函式
變異函式2.設定經驗變異函式的頻寬,並將按頻寬等分:
3. 通過距離矩陣檢索點間距離(pairwise distance)在h_i+\delta h內的所有點對,並帶入公式計算結果。
變異函式4. 遍歷所有並重複以上步驟
變異函式模型(variogram model)
二階穩定過程不必然是各向同性的,依據可用樣本點所構成向量的方向分別計算經驗變異函式可以觀察該隨機場是否具有各向同性。具有各向同性的隨機場由於所有方向的向量可以共用一個變異函式模型,因此易於建模。一些特定類型的各項異性,例如幾何各向異性(geometric anisotropy)可以通過坐標變換轉化為各向同性並進行建模。
變異函式
變異函式
變異函式
變異函式變異函式模型並不是任意給定的,由性質可知,在二階穩定過程下,理論變異函式和協方差直接相關(),因此對變異函式建模時,模型必須滿足協方差矩陣的正定性質(positive definiteness),即對任意非零向量,。以下在各向同性假設下給出常見的變異函式模型 :
變異函式塊金模型(nugget effect model)
塊金模型是對所有距離下的變異函式按定長塊金效應建模所得的結果,是最簡單的變異函式模型。塊金模型下空間所有點的協方差為一常數。
變異函式線性模型(linear model)
變異函式線性模型中變異函式的取值從塊金處隨距離而增加且是無邊界的(unbounded)。因為 ,所以當空間的距離過遠時,協方差可能為負。線性模型無邊界的特性使得其只能在特定的距離範圍內使用。
冪模型(power model)
變異函式冪模型與線性模型一樣是無邊界的,具有與線性模型類似的性質,只能在特定的距離範圍內使用。

