背景
廣義預測控制(GPC)是隨著自適應控制的研究而發展起來的一種預測控制方法。 它採用了大範圍滾動預測, 能夠獲得更多被控過程的動態信息,還能通過對模型的線上辨識,以適應單元機組動態特性的變化, 計算出合理、 最佳化的控制信號, 呈現良好的控制性能和魯棒性, 適用於控制不易建立精確數學模型的工業生產過程。 對於多輸入多輸出系統, 由於系統內部的相互耦合給系統控制帶來了困難,要想取得滿意的控制效果,就要研究多變數系統的解耦問題。
設計方法
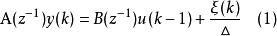
被控過程的數學模型採用下列具有隨機階躍擾動非平穩噪聲的離散差分方程描述:
解耦廣義預測控制
解耦廣義預測控制
解耦廣義預測控制其中, ,
解耦廣義預測控制
解耦廣義預測控制
解耦廣義預測控制
解耦廣義預測控制
解耦廣義預測控制
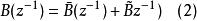
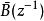
解耦廣義預測控制和 為 維輸出向量, 是均值為零、方差為 的白噪聲。 並假設 為一對角矩陣。
解耦廣義預測控制將 分為兩部分:
解耦廣義預測控制
解耦廣義預測控制
解耦廣義預測控制
解耦廣義預測控制
解耦廣義預測控制其中, 是一個對角矩陣多項式, 是一個對角線為零的矩陣多項式。可以看出, 是輸入輸出之間的直接聯繫, 是通道之間的相互耦合部分。
式(1)可以改為:
解耦廣義預測控制
解耦廣義預測控制
解耦廣義預測控制其中, , 也是對角矩陣。
定義Diophatine方程:
解耦廣義預測控制其中,
解耦廣義預測控制
解耦廣義預測控制
解耦廣義預測控制
解耦廣義預測控制
解耦廣義預測控制因為 是對角矩陣,所以 和 也是對角矩陣。
解耦廣義預測控制左乘式(1),並化簡得:
解耦廣義預測控制
解耦廣義預測控制
解耦廣義預測控制其中, ,
顯然,上式的前三項和第四項不相關,則 j 步導前最優預測為:
解耦廣義預測控制
解耦廣義預測控制其中, 為預測步數,P為最大預測長度。
解耦廣義預測控制
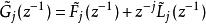
解耦廣義預測控制將 和 分別分為兩部分:
解耦廣義預測控制
解耦廣義預測控制其中,
解耦廣義預測控制
解耦廣義預測控制
解耦廣義預測控制
解耦廣義預測控制則最佳化算式可以改寫為:
解耦廣義預測控制控制性能指標選取如下:
解耦廣義預測控制
解耦廣義預測控制
解耦廣義預測控制
解耦廣義預測控制其中,M 為控制時域長度; 和 為輸出預測誤差和控制增量加權係數,都是對角矩陣; 為參考輸入軌跡。同一般的廣義預測控制性能指標相比, 式中多出一項 ,主要是用來消除各通道之間的耦合作用。
