原理
視頻信號的數位化包括位置的離散化(抽樣)、所得量值的離散化(量化)以及PCM編碼這三個過程。而模擬視頻信號體系的基本特點是用掃描方式把三維視頻轉為一維隨時間變換的信號。視頻信號在時間維上把圖像分為離散的一幀一幀的圖像;在每一幀圖像內又在垂直方向上(y維)將圖像離散為一條一條的水平掃描行。把圖像分成若干幀的過程,實際是在時間方向上進行了抽樣;把圖像分成若干行的過程,實際是在垂直方向上進行了抽樣。在時間方向和垂直方向上的抽樣間距是由模擬電視系統的制式所決定的。因此,可供我們自由處置的只有水平方向(x維),在水平方向上我們可以設定不同的抽樣間隔。圖1是對電視信號的掃描、抽樣的示意圖。
視頻信號數位化圖1電視信號的掃描及抽樣
圖2是對一幀電視信號的掃描的示意圖。由圖可見,掃描輸出的一維時間連續信號的最大頻譜Fm與圖像水平方向最大空間頻率U存在下述關係:
視頻信號數位化(1.1)
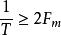
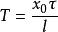
式中:l為畫面寬度(暫不考慮回掃),τ為一行掃描時間。根據二維抽樣定理,抽樣點的間隔X應滿足:
視頻信號數位化(1.2)
記T為掃描抽樣點距離所需的時間,由圖41.7可得:
視頻信號數位化(1.3)
綜合以上三式可得:
視頻信號數位化(1.4)
這個結論與一維抽樣定理相同。因此,可以把二維圖像掃描輸出的信號直接做為一維信號來抽樣。
視頻信號數位化圖2掃描間隔和最高頻率
目前,圖像數位化的工作由模數轉換器(A/D)完成,它包括了信號的抽樣、量化和編碼的全部過程,結果輸出為PCM編碼的數字圖像信號。當考慮對彩色電視信號的數位化時,根據不同的套用場合可採用不同的方式,例如,可直接對複合視頻信號進行A/D變換,或者將視頻信號在模擬域分解為亮度和色差信號後再分別進行A/D變換。也可以用恰當的頻率對複合視頻信號進行A/D變換,然後在數字域進行Y/C(亮度/色度)分離,形成Y、U、V三路數字視頻輸出。後者就是目前普遍套用的視頻信號分量數位化方法。
