基本資料
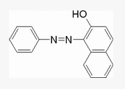
中文名稱: 蘇丹Ⅰ,BS
中文別名: 苯基(偶氮-1)-2-羥基萘;一號蘇丹紅;苯基偶氮-2-萘酚;苯偶氮苯酚
英文名稱: Sudan Ⅰ
英文別名: 1-Phenylazo-2-naphthol;solvent Yellow 14
線性分子式: C6H5N=NC10H6OH
等級: BS
CAS號: 842-07-9
分子式: C16H12N2O
分子量: 248.28
苯偶氮苯酚性狀描述
深紅色粉末,溶於乙醚、苯和二硫化碳,成橙黃色溶液,溶於濃硫酸成深紅色,不溶於水和鹼溶液;最大吸收波長476(418)nm
物理參數
熔點:131-133℃(lit.)
用途說明
生物染色劑,如動植物組織中類脂化合物的染色;石油著色劑
貯藏運輸
密封保存
危險說明
危險代碼:Xn
危險等級:40-43-53-68
安全等級:22-36/37-46-61
