簡介
1981年,科霍恩(Kohonen)教授提出一種自組織特徵映射網路,該網路的出發點是模擬大腦皮層中具有自組織特徵的神經信號傳送過程,屬於無導師學習的競爭型神經網路。科霍恩認為,一個生物神經網l絡在接受外界輸入模式時,將會分為不同的對應區域,各區域對輸入模式具有不同的回響特徵,而且這個過程是自功完成的。以此為基礎,科霍恩創建了SOM。
SOM的生物學基礎是:(1)側抑制現像:這種側抑制使神經細胞之間呈現出競爭,一個興奮程度最強的神經細胞對周圍神經細胞有明顯的抑制作用,其結果使周圍神經細胞興奮度減弱,從而該神經網路是這次競爭的“勝者”,而其他神經細胞在競爭中失敗。(2)生物神經網路接受外界的特定時空信息時,神經網路的特定區域興奮,而且類似的外界信息在對應區域是連續映象的。SOM經訓練後,其競爭層神經元,功能類似的相互靠近,功能不同的相互較遠,這與生物神經網路的組織構造非常類似。
自組織特徵映射的每個輸入模式均對應於二維格線上的一個局部化區域,而且隨著輸入模式的不同, 該區域的位置和性質也各不相同。 因此,必須有充分數量的輸入模式,才能保證格線中所有的神經元都受到訓練,並確保自組織過程的正確收斂。SOFM 的一個重要特點是具有拓撲保形特性,即最終形成的以輸出權矢量所描述的特徵映射能反映輸入的模式的分布。
自提出以來,自組織特徵映射網得到快速發展和改進,已廣泛套用於樣本分類、排序和樣本檢測等方面,和工程、金融、醫療、軍事等領域,並成為其他人工神經網路的基礎。其實際套用包括:模式識別、過程和系統分析、機器人、通信、數據挖掘以及知識發現等。
SOFM的基本原理
SOFM的基本原理是:當某類模式輸入時, 輸出層某節點得到最大刺激而獲勝,獲勝節點周圍的節點因側向作用也受到刺激。這時網路進行一次學習操作,獲勝節點及周圍節點的連線權值向量朝輸入模式的方向作相應的修正。當輸入模式類別發生變化時, 二維平面上的獲勝節點也從原來節點轉移到其它節點。這樣,網路通過自組織方式用大量樣本數據來調整其連線權值,最後使得網路輸出層特徵圖能夠反映樣本數據的分布情況。
SOFM的拓撲結構
圖1 SOFM網路的拓撲結構示意圖SOFM網路一個典型的特性就是可以在一維或者二維的處理單元陣列上形成輸入信號的特徵拓撲分布,SOM網路具有抽取輸入信號模式特徵的能力。其中套用較多的二維陣列模型由4部分組成:1)處理單元陣列,用於接受事件輸入,並且形成對這些信號的判別函式;2)比較選擇機制,用於比較判別函式,並選擇一個具有最大函式輸出值的處理單元;3)局部互連作用,用於同時激勵被選擇的處理單元及其最鄰近的處理單元;4)自適應過程,用於修正被激勵的處理單元的參數,以增加其對應於特定輸入的判別函式的輸出值(如圖1所示)。
圖2 一維競爭層SOFM的拓撲結構如圖1所示,由輸入層和輸出層(競爭層)組成,SOFM的拓撲結構不包括隱含層。輸入層為一維,由 N個神經元組成; 競爭層由 M個輸出神經元組成,且形成一個二維陣列,競爭層可以是一維(圖2)、二維(圖3)或多維。其中二維竟爭層由矩陣方式構,二維競爭層的套用最為廣泛。輸入層與競爭層各神經元之間實現全互連線,競爭層之間實行側向連線。網路根據其學習規則,對輸入模式進行自動分類,即在無導師情況下,通過對輸入模式的自組織。 學習,抽取各個輸入模式的特徵,在競爭層將分類結果表示出來。
圖3二維競爭層SOFM的主要特性和主要功能
SOFM的主要特性為:1)自組織排序性質,即拓撲保持能力;2)自組織機率分布性質;3)以若干神經元同時反映分類結果,具有容錯性;4)具有自聯想功能。
SOFM網路的主要功能為:實現數據壓縮、編碼和聚類。
SOFM的學習算法
算法應首先對權值進行初始,SOFM 的初始權值常取小的隨機數。權值初始化後, SOFM 還應完成兩個基本過程:競爭過程和合作過程。競爭過程就是最優匹配神經元的選擇過程,合作過程則是網路中權係數的自組織過程。選擇最優匹配神經元實質是選擇輸入模式對應的中心神經元,權係數的自組織過程則是以“墨西哥帽”的形態來使輸入模式得以存放。這兩部分是密切相關的,它們共同作用才能完成自組織特徵映射的學習過程。
每執行一次學習, SOFM 網路中就會對外部輸入模式執行一次自組織適應過程,其結果是強化現行模式的映射形態,弱化以往模式的映射形態。
學習算法的具體過程如下
自組織特徵映射
自組織特徵映射
自組織特徵映射
自組織特徵映射1)初始化。賦予N個輸入神經元到輸出神經元較小的連線權值,選取輸出神經元 j 臨接神經元的集合 。其中, 表示時刻t=0的神經元 j 的臨接神經元的集合, 表示 t 時刻 j 的臨接神經元的集合, 隨著時間的增長而不斷縮小。
2)提供新的輸入模式X。
自組織特徵映射
自組織特徵映射
自組織特徵映射3)計算歐式距離 。即輸入樣本與每個輸出神經元 j 之間的距離: ,並計算出一個具有最小距離的神經元 j*,即確定某個單元 k,使得對於任意的 j,都有 。
自組織特徵映射4)給出一個周圍的臨域 。
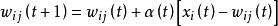
5)按照下式修正輸出神經元 j* 及其臨接神經元的權值:
自組織特徵映射
自組織特徵映射
自組織特徵映射
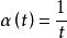
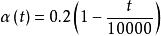
自組織特徵映射其中,為一個增益項,並隨時間變化逐漸下降到零,一般取或。
自組織特徵映射
自組織特徵映射
自組織特徵映射6)計算輸出。,式中,一般為0~1函式或其他非線性函式。
7)提供新的學習樣本來重複上述學習過程。

